• Предмет: Математика
  • Автор: Gala100398
  • Вопрос задан 3 года назад

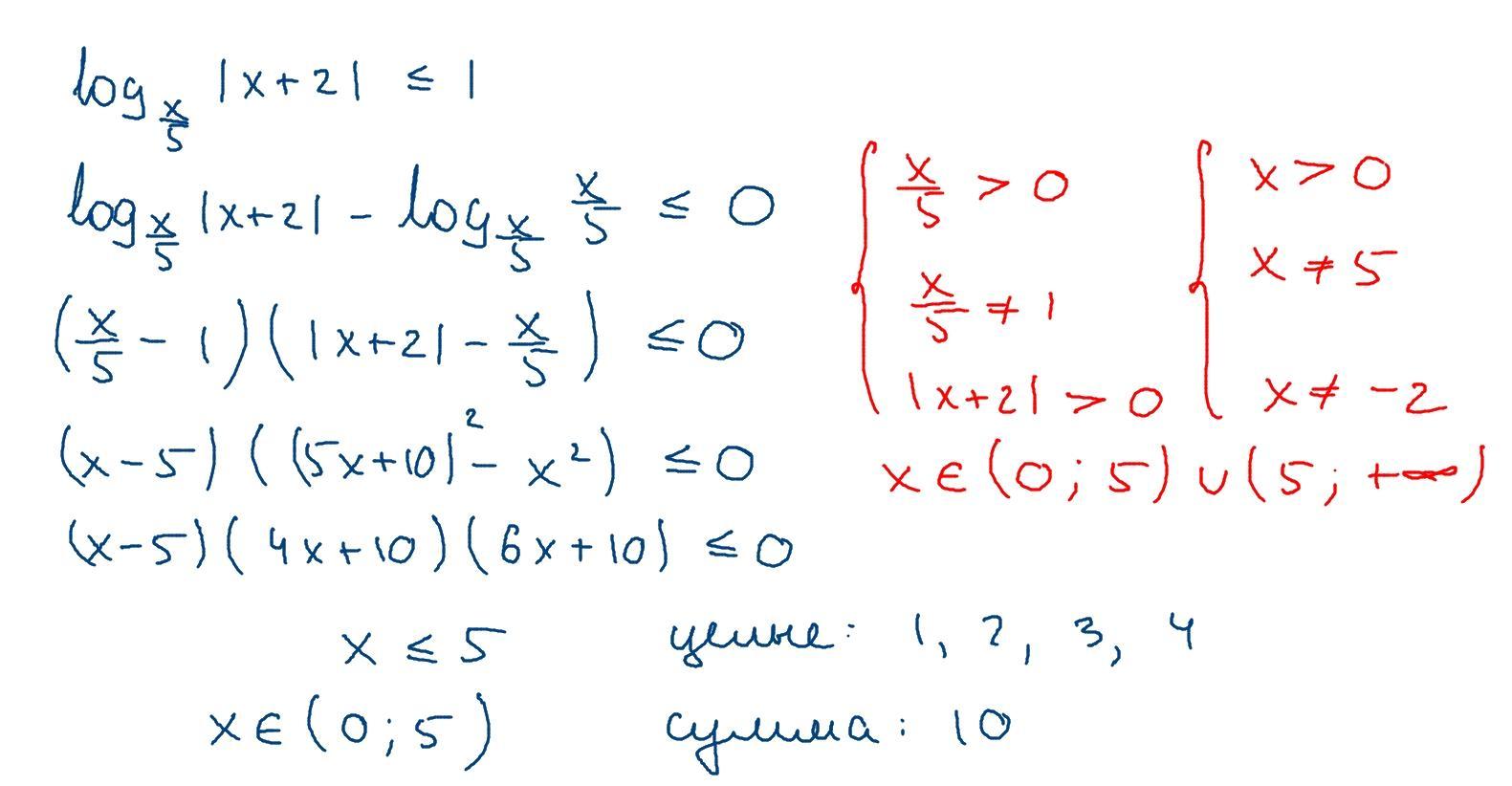
Помогите решить неравенство и понять где ошибка в моем решении, пожалуйста. Верный ответ под цифрой 2.

Приложения:

Simba2017: да ответ 10....

Ответы

Ответ дал: Klick
1

Ответ:

Пошаговое объяснение:

Решение задания приложено

В вашем решении есть две критические ошибки

1-я, это когда вы получили x>5

2-я это в момент перехода от неравенства ab<=0 к неравенствам a<=0 и b<=0

Приложения:
Ответ дал: Аноним
1

Исходя из того, что Вы используете метод замены множителя, или метод рационализации, понятно, что изучаете углубленку.

Теперь об ошибках.

1. из того что (х/5)>0 ⇒x>0, достаточно обе части умножить на пять. знак останется прежним.

2. из того, что (х/5)≠1, следует, что х≠5, опять же умножьте обе части на 5.

3. ((х/5)-1)(Ix+2I-(x/5))≤0 Я бы решал методом интервалов. Но если Вы избрали иной путь, то опять же должны рассмотреть случаи, когда знаки у множителей различны, т.е. первый ≥0, второй отрицат., и наоборот, первый ≤0, а второй положит. Вы же разобрали случай, когда оба множители неположительны.

Ну, и теперь решение.

Помня, что метод рационализации срабатывает на ОДЗ, еще раз подчеркнем ее, х≠-2 мы не учитываем, т.к. пересечением трех условий х≠-2; х∈(0;5)∪(5;+∞) является х∈(0;5)∪(5;+∞)

Рассмотрим ((х/5)-1)(Ix+2I-(x/5))≤0  на ОДЗ;

((х/5)-1)(Ix+2I-(x/5))≤0 можно переписать так :

((х/5)-1)(x+2-x/5)≤0 , домножим обе части на 25=5*5, получим (х-5)(4х+10)≤0, решим методом интервалов.

___-2.5______5______

+              -                 +

решением неравенства является х∈[-2.5;5], учитав ОДЗ, получим ответ

(0;5) , в этом интервале целыми решениями будут 1;2;3;4, а их сумма равна 1+2+3+4=10

Ответ 10

ЧТО ОСТАЛОСЬ НЕ ЯСНЫМ?

Вас заинтересует