• Предмет: Математика
  • Автор: raximovjasur508
  • Вопрос задан 3 года назад

вот 1 и 2 примера помогите​

Приложения:

raximovjasur508: помогите пж
25hjoerf10: Возможно во 2-ом задании опечатка в ответах или я не правильно решила. но решение у меня вот такое:
x = 4ᵃ + 1 и y = 2ᵃ - 3

x = 4ᵃ + 1
x = (2ᵃ)² + 1
(2ᵃ)² = x - 1

y = 2ᵃ - 3
2ᵃ = y + 3
(2ᵃ)² = (y + 3)²

x - 1 = (y + 3)²
x - 1 = y² + 6y + 9
x = y² + 6y + 9 + 1
x = y² + 6y + 10
Ответ: y² + 6y + 10
raximovjasur508: щас постой
25hjoerf10: Возможно ответ В, но в нём опечатка, должно быть y² + 6y + 10
raximovjasur508: да ты правильно решила
raximovjasur508: а где ашибка там
25hjoerf10: должно быть в ответе В) y² + 6y + 10, а там y² + 6х + 10
raximovjasur508: мм понятно
raximovjasur508: вот я тоже думал где та тут ошибка
raximovjasur508: ну теперь отправь ответ чтобы получить балл

Ответы

Ответ дал: 25hjoerf10
1

№ 2

x = 4ᵃ + 1 и y = 2ᵃ - 3

Выразим х через у:

x = 4ᵃ + 1

x = (2ᵃ)² + 1

(2ᵃ)² = x - 1

y = 2ᵃ - 3

2ᵃ = y + 3

(2ᵃ)² = (y + 3)²

x - 1 = (y + 3)²

x - 1 = y² + 6y + 9

x = y² + 6y + 9 + 1

x = y² + 6y + 10

Ответ:

y² + 6y + 10.

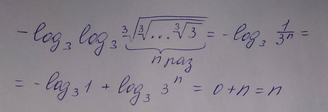
№3

смотри решение на фото

Ответ: А) n.

Приложения:

25hjoerf10: сделаю, добавлю
raximovjasur508: ок
raximovjasur508: у меня ещё есть задачи помошешь
25hjoerf10: выкладывай, я посмотрю в твоем профиле
raximovjasur508: ок
raximovjasur508: щас
raximovjasur508: то те которые я не понял щас поставлю
25hjoerf10: Обнови страницу, я прикрепила решение 3-его номера
xacku2020: а почему логарифм умножается на дробь?
25hjoerf10: нет конечно, не умножается, о другом думала, сейчас исправлю
Вас заинтересует