Ответы
Ответ дал:
3
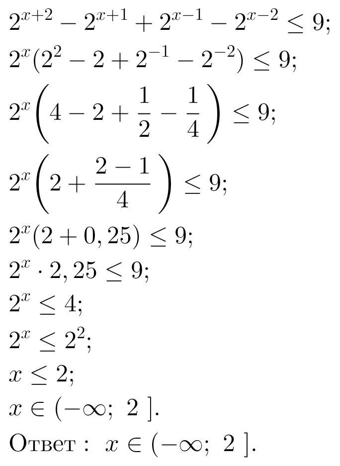
Выносим 2ˣ за скобки по формуле:
aᵐ⁺ⁿ = aᵐ • aⁿ.
Приложения:

Вас заинтересует
2 года назад
2 года назад
2 года назад
2 года назад
7 лет назад
7 лет назад
9 лет назад