• Предмет: Математика
  • Автор: shahzod77
  • Вопрос задан 3 года назад

2 задачки на простую логику, очень нужно

Приложения:

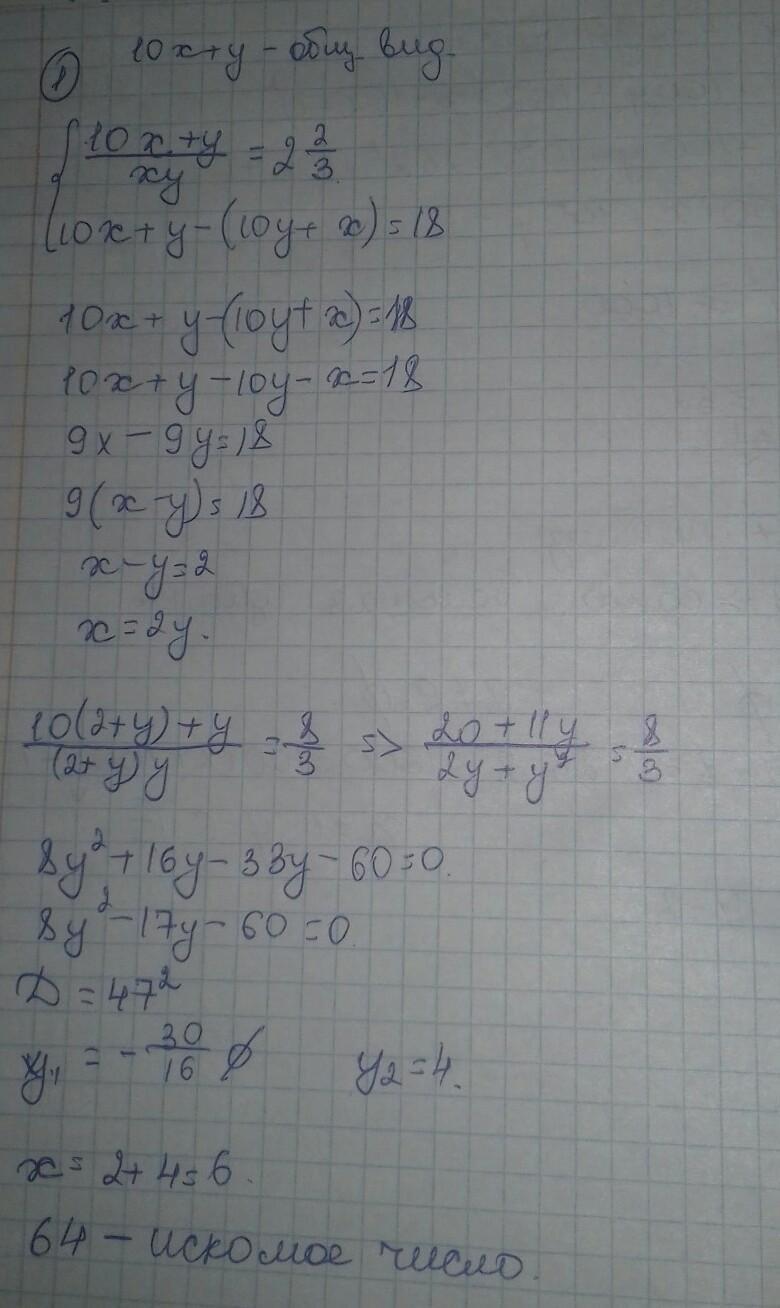
Ответы

Ответ дал: atamuradovaparvina
1

Пошаговое объяснение:

во второй задаче работаем с целыми числами , поэтому берем округленное число

Приложения:
Вас заинтересует