• Предмет: Химия
  • Автор: кристина67
  • Вопрос задан 3 года назад

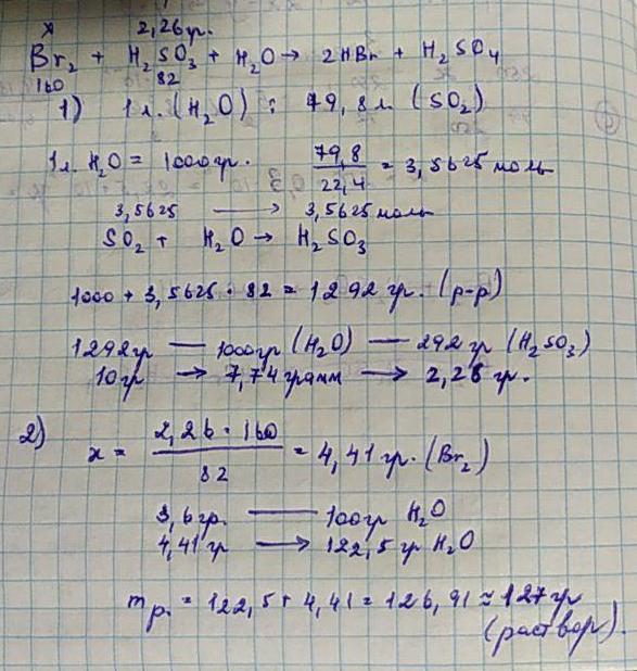
Какая масса бромной воды (3,6 г брома в 100 г воды) необходима для окисления 10 г насыщенного раствора сернистой кислоты, если при н.у. 1 объем воды поглощает 79,8 объема диоксида серы?

Ответы

Ответ дал: Аноним
0

Ответ:

127 гр.

Объяснение:

При взаимодействии р-ра сернистой кислоты и бромной воды образуются бромная и серная кислоты:

Br2+H2SO3+H20=2HBr+H2SO4.

1. По соотношению объёмов воды и SO2, можно узнать соотношение их масс. Для этого переведём их в одну единицу измерения - литр. Тогда у нас получится соотношение объёмов 1 л(H2O) : 79,8 л.(SO2). Из этого следует, что воды в растворе 1000 гр. (m=V*p=1000 мл*1 г/мл=1000 г), а сернистого ангидрида - 3,5625 моль (n=V/Vm=79,8/22,4=3,5625).Из этого следует, что и H2SO3 образовалось 3,5625 моль(соотношение 1:1). Теперь можно найти массу раствора: m(р-р)=1000+3,5625*82=1292 гр. У нас вышло 1292 гр р-ра,  а по условию даётся 10 гр., поэтому составляя пропорцию находим массу этих в-в в 10 граммах раствора.

2. А теперь, после того как мы нашли массу H2SO4, по реакции можно найти массу брома, вступившего в реакцию. После, находим массу воды в которой растворился этот бром (по растворимости). Сложив две массы, мы получим массу р-ра бромной воды.

Приложения:
Вас заинтересует