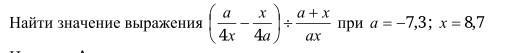
Помогите решить Сначала решал просто вместо a и x поставил заданные параметры и решил, но мне сказали что надо упростить, а что и как как упрощать я не знаю
Приложения:

Ответы
Ответ дал:
0
============================
Приложения:

Ответ дал:
0
лучше сначала упростить.
(а/4х-х/4а):((а+х)/ах)=(а²-х²)/(4ах):((а+х)/ах)=(а-х)/4=(-7.3-8.7)/4=-4
Вас заинтересует
2 года назад
2 года назад
2 года назад
7 лет назад
9 лет назад