• Предмет: Алгебра
  • Автор: OlyaSara
  • Вопрос задан 3 года назад

Решите систему уравнений

Приложения:

Ответы

Ответ дал: terikovramazan
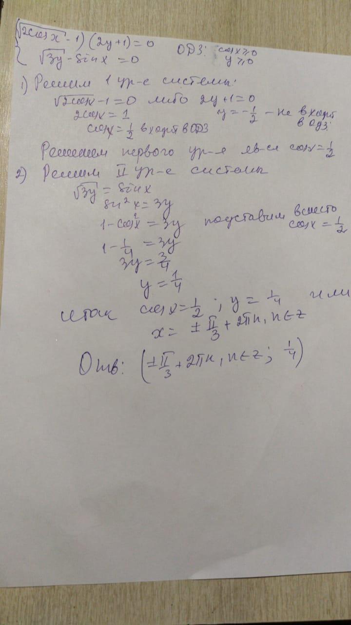
2

Ответ: приложено

Объяснение:

Приложения:

OlyaSara: А можно еще раз сфоткать? А то ничего не видно
Аноним: Не очень хорошо видно, камера размазала фото
OlyaSara: Большое спасибо)
iosiffinikov: x=-pi/3 не подходит, т.к. тогда синус отрицательный, а он равен квадратному корню из 3у.
terikovramazan: да, есть такое
Ответ дал: iosiffinikov
0

Ответ:

х=+pi/3+2*pi*n,где n- любое целое,  y=0,25

Объяснение:

Из первого уравнения 2 случая:

1) sqrt(2cos(x))=1  2) y=-0,5 При этом ОДЗ cos(x)>=0,а из второго уравнения  у>=0 и sin(x)>=0 Значит случай 2) не рассмативается по ОДЗ

В первом случае  2cos(x)=1 cos(x)=1/2 х=+pi/3+2*pi*n или х=-pi/3+2*pi*n

sin(x)=sqrt(3)/2 (с учетом ОДЗ)   значит  х=+pi/3+2*pi*n, 3у=3/4 y=0,25

Вас заинтересует