Ответы
Ответ дал:
2
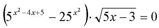
При произведении двух множителей, хотя бы один из этих множителей должен равняться нулю.
1)
х²-4х+5=2х²
х²+4х-5=0
х1=-5 — посторонний корень (при подставлении в уравнение выходит ложный результат);
х2=1.
2)
5х-3=0
х=3/5
Ответ: х=3/5; х=1.
Ответ дал:
1
Ответ:
На фотографии
Объяснение:
По ОДЗ решения должны быть больше 3/5, иначе корень не будет извлекаться и получится комплексное число (число с минусом под корнем), а в реальности такого быть не может.
Приложения:

ivanichggg:
Респект) Запарился в тетрадке написалУважение+++++)))
Вас заинтересует
2 года назад
2 года назад
2 года назад
2 года назад
7 лет назад
7 лет назад