• Предмет: Алгебра
  • Автор: ivanichggg
  • Вопрос задан 3 года назад

Помогите решить плиз

Приложения:

Ответы

Ответ дал: VitalikMaksymchuk
2

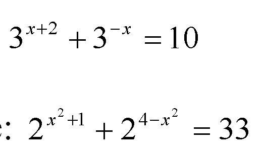
3^х+2 + 3^-х = 10

3^х * 3^2 + 1/3^х = 10

нехай 3^х = t

9t + 1/t = 10 |×t

9t^2 + 1 = 10t приведемо до стандартного вигляду квадратного рівняння 9t^2 - 10t + 1 = 0

D=100-36=64

64 = 8

t1=(10+8)/18 = 18/18 = 1

t2=(10-8)/18 = 2/18 = 1/9

виконаємо зворотню заміну 3^х=1, 3^х=3^0, х=0, та 3^х=1/9, 3^х=3^-2, х=-2

...

Вас заинтересует