• Предмет: Математика
  • Автор: kkk65
  • Вопрос задан 3 года назад

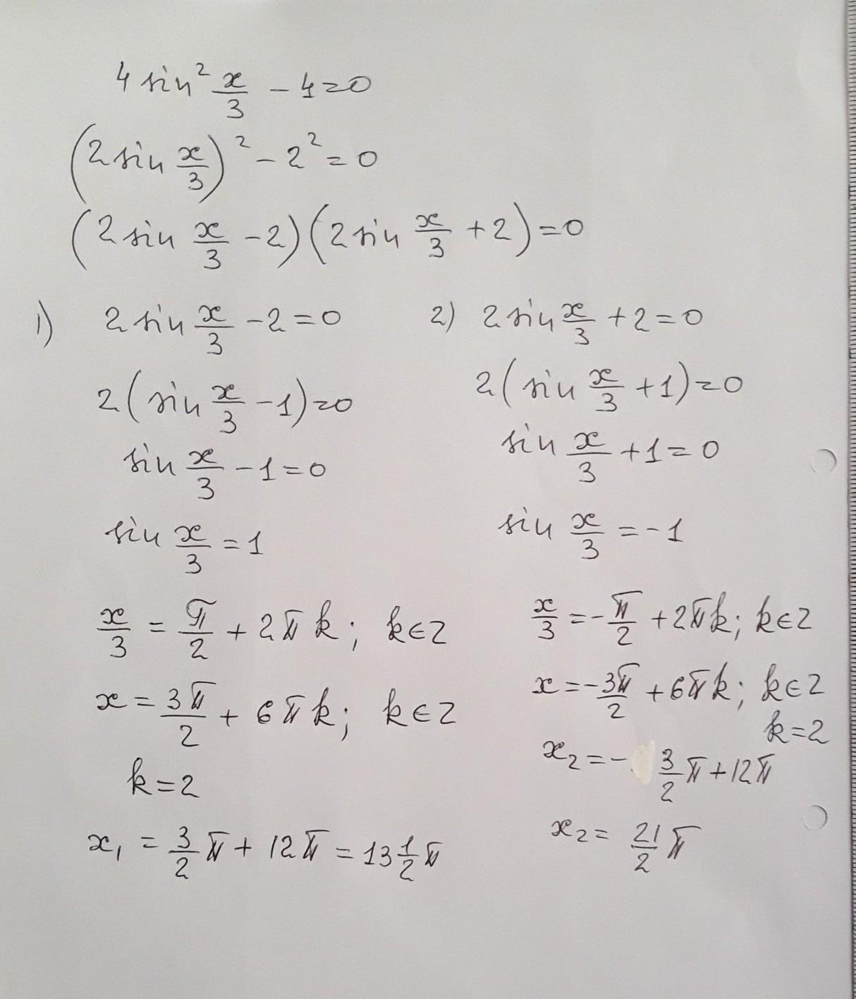
4sin*2x/3-4=0. k=2 (k€ Z) СРОЧНО 100 БАЛЛОВ​


xacku2020: в ур.нет к
Аноним: *. что это? И уточните аргумент.
sharofat0: По условию я поняла k как число полных оборотов или кратность повторений

Ответы

Ответ дал: sharofat0
1

Ответ:

Х_1=27/2pi

X_2=21/2pi

Пошаговое объяснение:

Приложения:
Ответ дал: xacku2020
1

Ответ:

27π\4

Пошаговое объяснение:

4sin*2x/3-4=0. k=2 (k€ Z)

4sin*2x/3=4

sin*2x/3=1

2х\3=π\2+2πк  ,k€ Z

х=3π\4+3πк  ,k€ Z

k=2 ⇒х=3π\4+3π*2=3π\4+6π=27π\4

Вас заинтересует