Площадь правильного треугольника равна

Найти длину медианы. (Если можно фото с объяснением)))
Ответы
Ответ:
Объяснение:
Правильный треугольник - равносторонний.
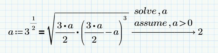
Обозначим сторону треугольника а.
Используя формулу Герона составляем уравнение и, решая его относительно a, получаем длину стороны треугольника 2
В равностороннем треугольнике медиана также является высотой, следовательно образуется прямоугольный треугольник.
Длина медианы равна произведению гипотенузы прямоугольного треугольника на синус 60° (В равностороннем треугольнике все углы по 60)
============
Не забывайте сказать "Спасибо", поставить оценку и, если ответ удовлетворил, то выберите его как "Лучший"
Бодрого настроения и добра!
Успехов в учебе!
Здесь фото не надо. т.к. я использую только формулы. Площадь правильного треугольника равна s=a²√3/4=√3⇒a²=4
a=2, медиана является в правильном треугольнике и высотой, а высоту вычислим по формуле а√3/2=2√3/2=√3