• Предмет: Алгебра
  • Автор: adiro3728
  • Вопрос задан 3 года назад

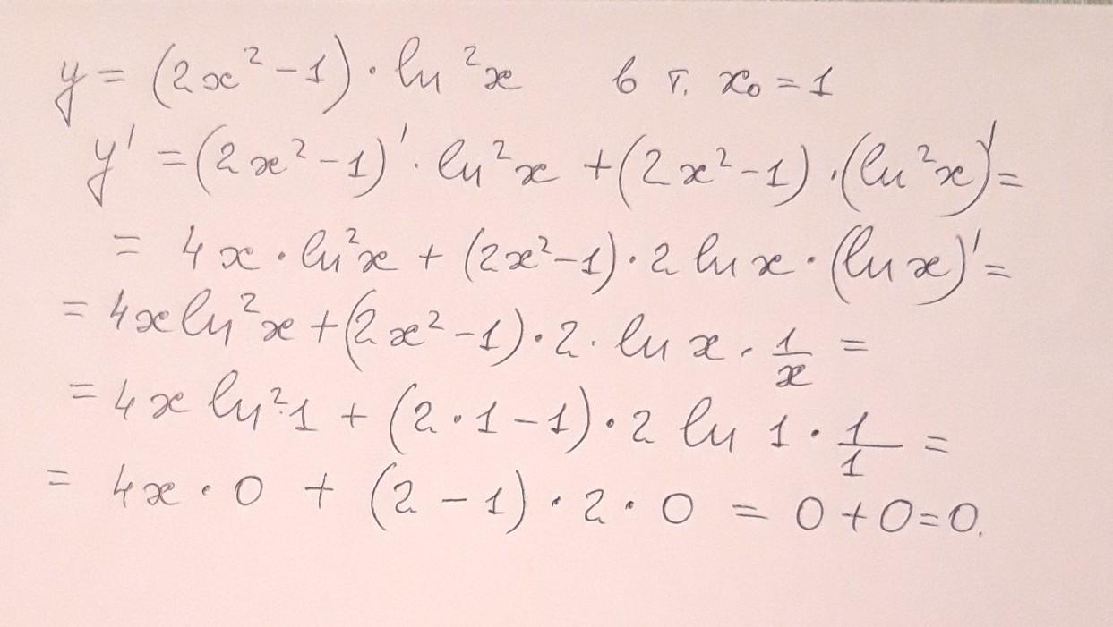
Найти значение производной функции y=(2x^2-1)·ln²x, в точке x₀=1

Ответы

Ответ дал: Аноним
3

у'=4х*·ln²x+2lnx(2х²-1)/х

у'(1)=4*1*·ln²1+2ln1(2-1)/1=0, т.к. логарифм единицы равен нулю.

Ответ дал: sharofat0
3

Ответ:

0.

Найти значение производной функции.

Объяснение:

Приложения:
Вас заинтересует