• Предмет: Математика
  • Автор: KutlinAlexAlex
  • Вопрос задан 3 года назад

Сумма квадратов цифр некоторого положительного двузначного числа равна 25. Если от искомого двузначного числа отнять 9, то получится двузначное число, записанное теми же цифрами, но в обратном порядке.


mscafarova: вопрос
mscafarova: какой
serd2011: Найти это двузначное число, видимо

Ответы

Ответ дал: serd2011
3

Ответ:

43

Пошаговое объяснение:

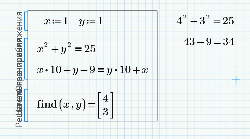
Пусть искомое число xy (x - десятки, y - единицы)

Составляем уравнения:

Сумма квадратов цифр равна 25: x^{2}+y^{2}=25

Если от числа отнять 9...: x*10+y - 9 = y*10 + x

Решаем систему и получаем x=4 y=3.

Также еще добавил проверку.

============    

Не забывайте нажать "Спасибо", поставить оценку и, если ответ удовлетворил, то выберите его как "Лучший"

Бодрого настроения и добра!  

Успехов в учебе!

Приложения:
Ответ дал: mscafarova
0

Ответ:43

Пошаговое объяснение:

сумма 4 в квадрате + 3 в квадрате 16+9=25

43-9=34


serd2011: "Если от искомого двузначного числа отнять 9" не 34, а 43
Вас заинтересует