• Предмет: Алгебра
  • Автор: kokapirogov
  • Вопрос задан 3 года назад

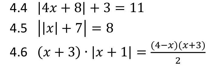
Решите уравнения, не только ответ но и решение:

Приложения:

Ответы

Ответ дал: lizapanzova2005
4

Ответ:

4.4     x₁= 0;   x₂= -4

4.5     x₁= 1;    x₂= -1

4.6     x₁= 2/3;  x₂= -3;   x₃= -3;  x₄= -6

Объяснение:

4.4

│4x+8│+3=11

│4x+8│=8

4x+8=8;           4x+8= -8

4x=8-8;            4x= -8-8

4x=0;               4x= -16

x=0;                  x= -4

4.5

││x│+7│=8

│x│+7=8;       │x│+7= -8

│x│=1;            │x│= -15

x=1;  x=-1         │x│= -15

x=1;  x= -1

4.6

(x+3)*│x+1│=  ((4-x)(x+3))/2

(x+3)*│x+1│= 1/2 (4-x)(x+3)

(x+1)(x+3) = 1/2 (4-x)(x+3);            (x+1)(x+3) = - 1/2 (4-x)(x+3)

x²+4x+3 = 1/2 (x+3)(4-x);              x²+4x+3 = -1/2 (x+3)(4-x)

x²+4x+3 = -x²/2 + x/2 +6;             x²+4x+3 = x²/2 - x/2 -6

1/2 (3x-2)(x+3)=0; │*1/2                1/2 (x+3)(x+6)=0   │*1/2

(3x-2)(x+3)=0;                               (x+3)(x+6)=0

3x-2=0;  x+3=0;                            x+3=0;   x+6=0

3x=2;      x= -3;                              x= -3;     x= -6

x= 2/3;    x= -3;                              x= -3;     x= -6

Вас заинтересует