В арифметической прогресии сумма 3-го и 17-го членов равна 20. Найдите сумму первых 19-ти членов этой прогресии. (ПОЖАЛУЙСТА С ОБЪЯСНЕНИЕМ)
Ответы
Ответ дал:
5
Ответ:
190
Пошаговое объяснение:
S₁₉=((2a₁+18d)/2)*19
a₃+a₁₇=a₁+2d+a₁+16d=2a₁+18d=20
S₁₉=10*19=190
Ответ дал:
1
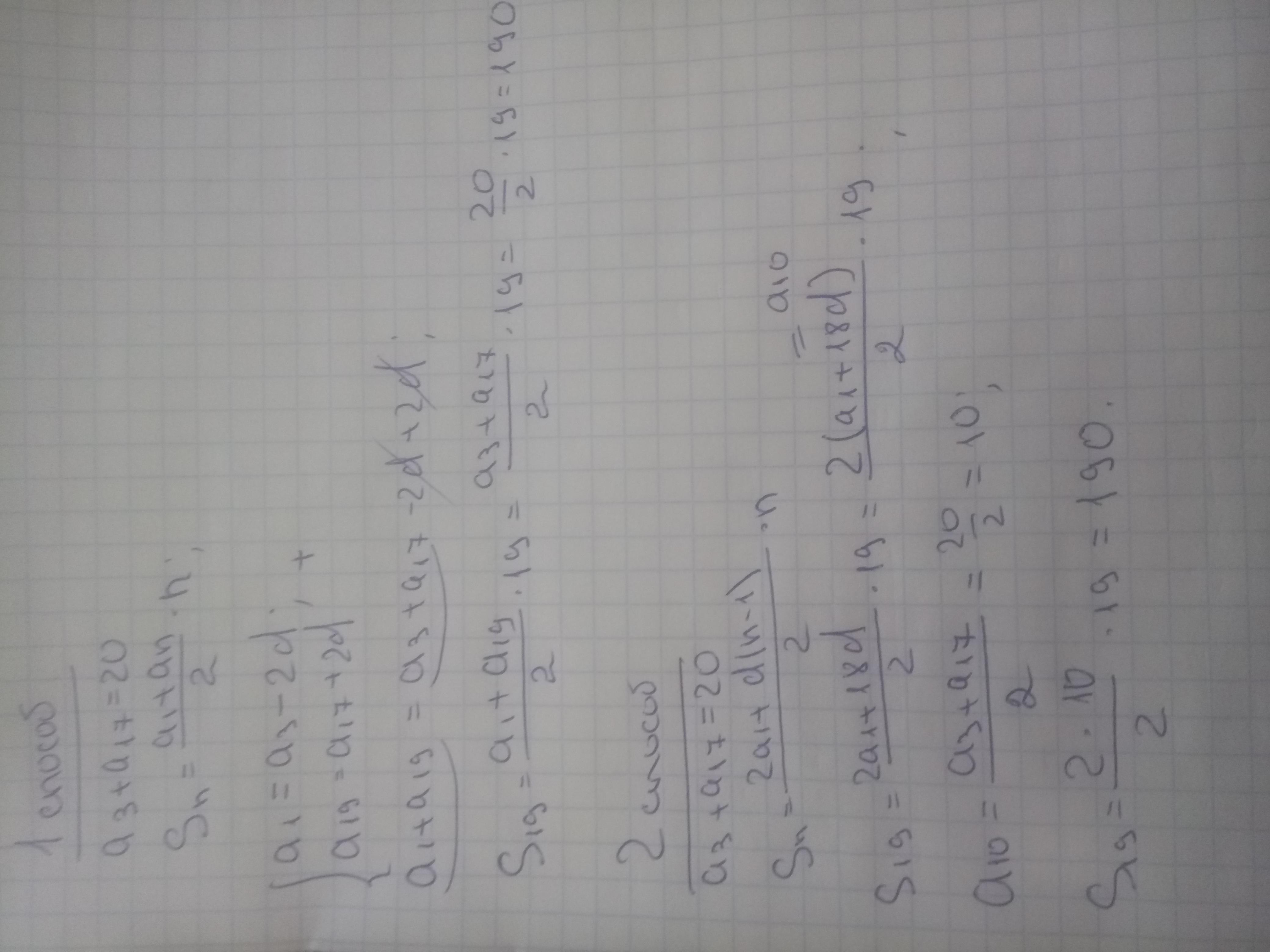
Ответ 190. 2 способа. Третий вам уже написали. Обратите внимание на первый. Используем характеристичнское свойство АП, отсюда а3+а17=а1+а19
Приложения:

Вас заинтересует
2 года назад
2 года назад
2 года назад
7 лет назад
7 лет назад
a₃+a₁₇=a₁+2d+a₁+16d=2a₁+18d=20
S₁₉=(20/2)*19=190 вроде так