• Предмет: Математика
  • Автор: Artem162000
  • Вопрос задан 3 года назад

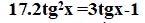
Пожалуйста, ПОМОГИТЕ решить пример. СПАСИБО ЗАРАНЕЕ!!!

Приложения:

Ответы

Ответ дал: MolkyWay
1

Ответ:

Всё на фотографии

Пошаговое объяснение:

Здесь будет наиболее целесообразно воспользоваться методом замены переменной: с tgx на t.

Приложения:

Artem162000: Спасибо большое
MolkyWay: не за что)
Вас заинтересует