• Предмет: Математика
  • Автор: iIlIlIlIli
  • Вопрос задан 3 года назад

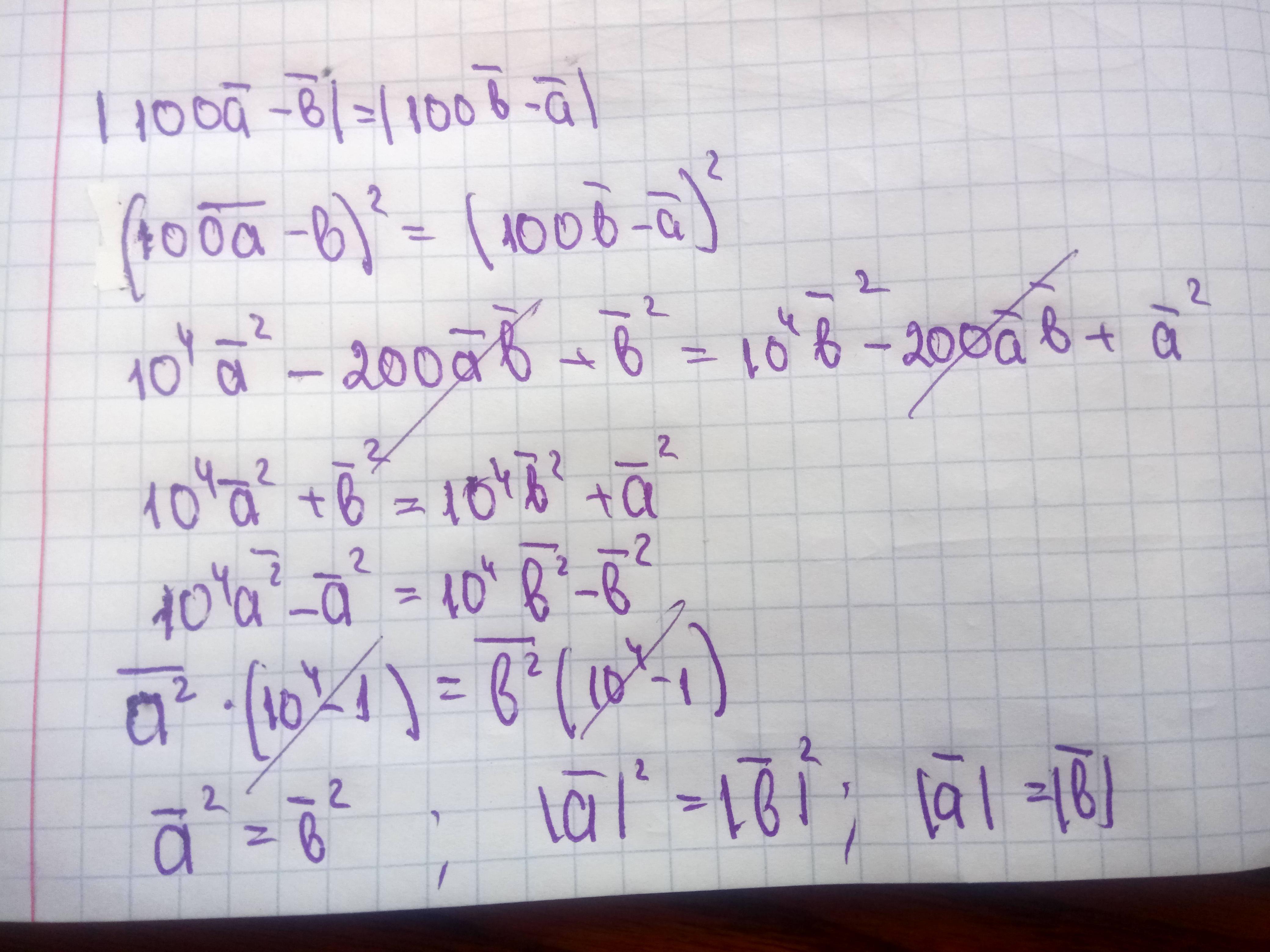
Известно, что |100(вектор) a-(вектор) b|=|100(вектор) b-(вектор) a|. Докажите, что |(вектор) a|=|(вектор) b|.

Ответы

Ответ дал: Аноним
2

Решение задания прилагаю

Приложения:

iIlIlIlIli: И снова большое спасибо!
Вас заинтересует