• Предмет: Алгебра
  • Автор: anikaarustamova
  • Вопрос задан 3 года назад

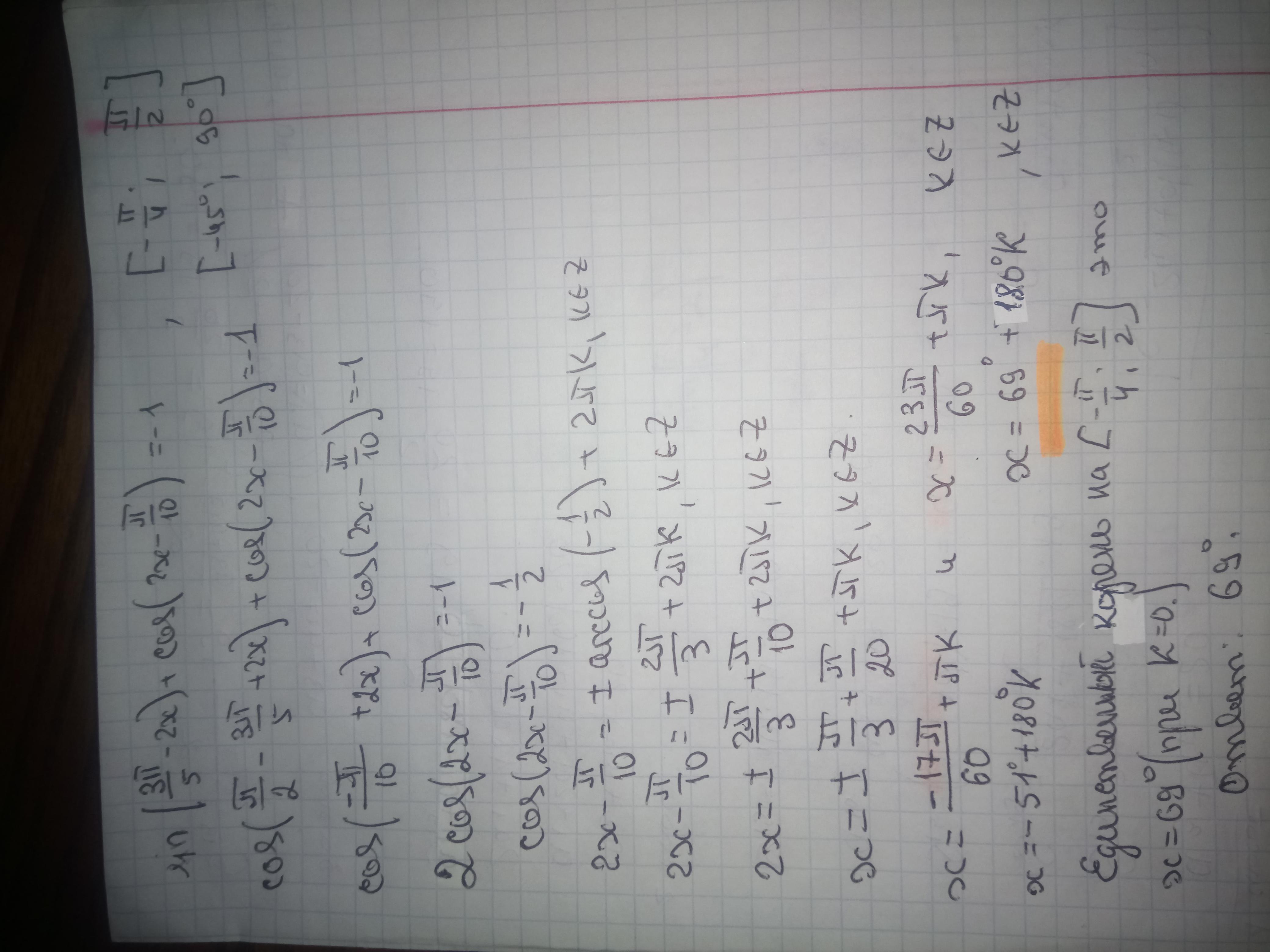
Решите тригонометрическое уравнение

Приложения:

Ответы

Ответ дал: igorShap
1

Ответ:

69°

Объяснение:

В приложении

Приложения:
Ответ дал: Аноним
1

Ответ 69°

Решение задания прилагаю

Приложения:
Вас заинтересует