Садовник должен в течении трех дней посадить 6 деревьев. Сколькими способами он может распределить по дням работу, если будет сажать не менее одного дерева в день? (ответ 10.)
Ответы
Ответ дал:
1
Ответ:
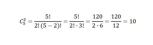
C₅²=10 способов
Пошаговое объяснение:
Предположим что он уже посадил эти 6 деревьев в один ряд. Тогда мы имеем 6 деревьев и 5 промежутков между ними. В этих 5 промежутках нам надо расставить 2 границы, которые будут обозначать границы дней. Причем границы не могут стоять рядом, между ними должно быть хотя бы 1 дерево, поскольку не может быть дня когда он не сажал деревья (по условию).
Таким образом задача сводится к тому что нам нужно выбрать 2 элемента из 5 возможных (решение на картинке)
Приложения:

shahzod77:
а как связаны промежутки и границы с задачей? если честно то ничего не понятно
Вас заинтересует
2 года назад
2 года назад
7 лет назад