• Предмет: Физика
  • Автор: bysdbuf
  • Вопрос задан 3 года назад

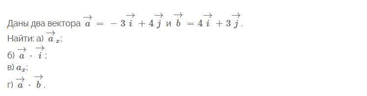
Пожалуйста решите задачу

Приложения:

Ответы

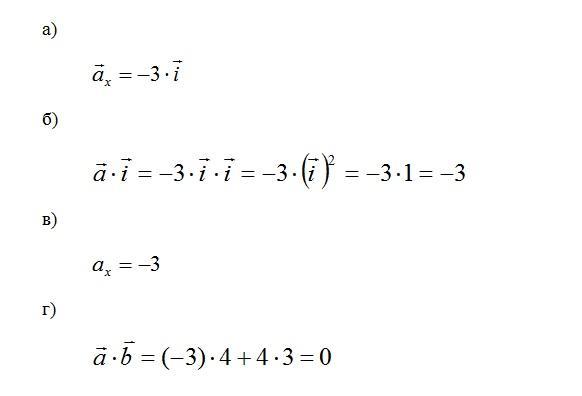
Ответ дал: DedStar
1

Ответ:

Объяснение:

Используем свойства векторов и скалярного произведения векторов

Приложения:
Ответ дал: Аноним
0

⁻ обозначение вектора.

⁻ аₓ=-3i

⁻a*⁻i=(-3⁻i*⁻i)-(3⁻i*4⁻j)=-3I⁻iI²*1-12IiI*IjI*0=-3

аₓ=-3

⁻a*⁻b=-3*4+4*3=0 векторы ⁻а и ⁻b перпендикулярны,т .к. их скалярное произведение равно нулю.

Вас заинтересует