• Предмет: Алгебра
  • Автор: Аноним
  • Вопрос задан 3 года назад

дам 35 баллов пж сделаете

Приложения:

Ответы

Ответ дал: d704154
1

Ответ:

(5а'3-20а'2)-(4а'3_18а'2)=

(5а'2•(а-4))2а'2•(2а-9)=

5а'2(а-4)-2а'2•(2а-9)=

а'2(5(а-4)-2(2а-9))=

а'а(5а-20-4а+18)=

а'2(а-2)=

-3'2•(-3-2)=

-3'2•(-5)=45

Объяснение:

*первое*

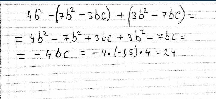
Ответ дал: temnayavikaru
0

Ответ:

Объяснение:

*второе*

Приложения:
Вас заинтересует