• Предмет: Математика
  • Автор: B011111000000
  • Вопрос задан 3 года назад

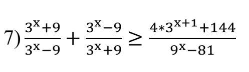
Решите, пожалуйста, неравенство:

Приложения:

Ответы

Ответ дал: m11m
2

Ответ:

Пошаговое объяснение:

!!!!!!!!!!!!!!!!!!!!

Приложения:
Ответ дал: Аноним
0

Ответ х∈{1}∪(2;+∞)

Пошаговое объяснение:см. во вложении, на рис. ответ , в который попадает х=1 и х∈(2;+∞),

Приложения:
Вас заинтересует