• Предмет: Математика
  • Автор: albina1795
  • Вопрос задан 3 года назад

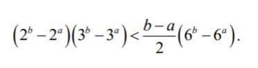
Для действительных a < b доказать неравенство:

Приложения:

Ответы

Ответ дал: Guerrino
0

Пусть x=b-a&gt;0. Тогда: 2^a(2^{b-a}-1)3^a(3^{b-a}-1)=6^a(2^x-1)(3^x-1), \frac{b-a}{2}6^a(6^{b-a}-1)=6^a\frac{x}{2}(6^x-1), возвращаясь к неравенству и сокращая на 6^a&gt;0, получаем: (2^x-1)(3^x-1)&lt;\frac{x}{2}(6^x-1).

Рассмотрим две непрерывные одинаково выпуклые функции. Они могут пересекаться не более чем в одной точке. Действительно, пусть таких точек хотя бы две. Соединим соседние, тогда эта хорда для одной функции располагается над графиком, а для другой — под графиком. Значит, функции разной выпуклости. Следовательно, точек пересечения не более одной.

Легко проверить, что функции, стоящие в обеих частях являются выпуклыми вниз (достаточно дважды продифференцировать или просто раскрыть скобки, разбив функцию на элементарные составляющие).

Графики функции пересекаются в точке x=0, значит, для x=b-a&gt;0 они больше нигде не пересекаются. Например, при x=1 неравенство выполнено, стало быть, оно будет выполнено и для остальных положительных x.


GluV: 5x^2+2x+2=4x^2-3x-2 Параболы, одинаково выпуклые и имеют 2 точки пересечения. В приведенной задаче важно, что в точке пересечения есть одинаковая касательная.
albina1795: Спасибо, но хотелось бы решение задания. И как его адаптировать для 9-10 классов?
Вас заинтересует