• Предмет: Алгебра
  • Автор: sobachkaallen
  • Вопрос задан 3 года назад

Помогите, пожалуйста.

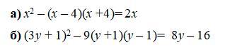
Приложения:

Ответы

Ответ дал: mishka19
0

Объяснение:

a)~ x^2-(x-4)(x+4)=2x \\ \\ x^2-(x^2-4^2)=2x \\ \\ x^2-(x^2-16)=2x \\ \\ x^2-x^2+16=2x\\ \\ 16=2x\\ \\ 2x=16\\ \\ x=16:2  \\ \\ x=8

Ответ: 8

b)~(3y+1)^2-9(y+1)(y-1)=8y-16 \\ \\ (3y)^2+2\cdot3y\cdot1+1^2-9(y^2-1^2)=8y-16 \\ \\ 3^2\cdot y^2+6y+1-9(y^2-1)=8y-16 \\ \\ 9y^2+6y+1-9y^2+9=8y-16 \\ \\  6y+10=8y-16 \\ \\ 8y-16=6y+10 \\ \\ 8y-6y=10+16 \\ \\2y=26 \\ \\ y=26:2 \\ \\y=13

Ответ: 13

Вас заинтересует