• Предмет: Математика
  • Автор: vikabozhyk1
  • Вопрос задан 3 года назад

7клас. якого найменшого значення та при якій змінній набуває вираз 2x²-20x-31? З поясненням​


Аноним: Квадратнi рiвняння вчили? Поглибленний рiвень?
vikabozhyk1: так

Ответы

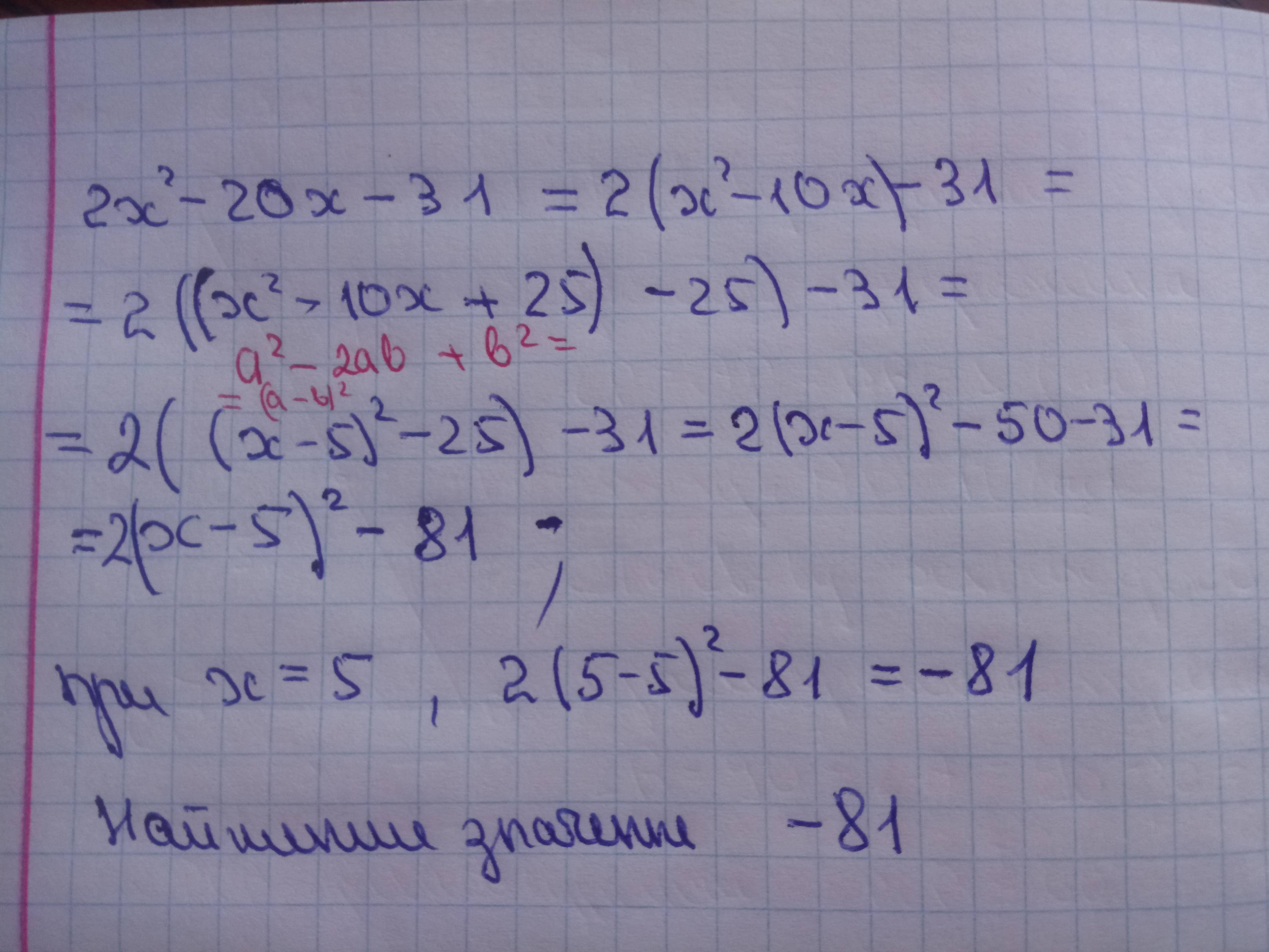
Ответ дал: Аноним
1

Розв'язання завдання додаю

Приложения:
Ответ дал: mishka19
0

Ответ:

-81 при x=5

Пошаговое объяснение:

Выделим полный квадрат из выражения:

2x^2-20x-31=2(x^2-10x)-31=2(x^2-2\cdot x\cdot 5+5^2-5^2)-31= \\ \\=2((x-5)^2-25)-31=2(x-5)^2-50-31=2(x-5)^2-81

Квадрат любого числа - число неотрицательное

(x-5)^2\geq 0

Причем равно 0 при x=5

При умножении обеих частей неравенства на положительное число (2>0), знак неравенства не меняется

2\cdot(x-5)^2\geq 2\cdot 0 \\ \\2(x-5)^2\geq 0

При вычитании одного и того же числа от обеих частей неравенства знак неравенства не меняется

2(x-5)^2-81\geq 0-81 \\ \\2x^2-20x-31\geq -81

значит, наименьшее значение выражения 2x^2-20x-31 равно -81 и достигается при x=5

Вас заинтересует