Ответы
Ответ дал:
3
~~~~~~~~~~~~~~~~~~~~
Приложения:

Kierra:
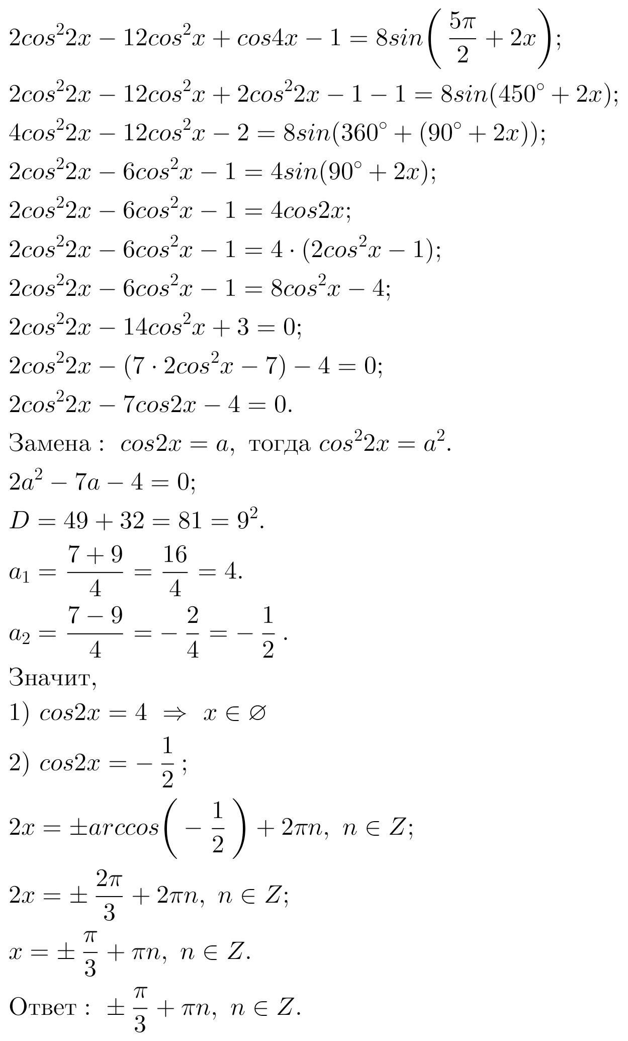
По формуле косинуса двойного угла, cos2x= 2cos²x–1. Теперь решение должно быть понятным
Ответ дал:
2
Ответ:
Пошаговое объяснение:
-не подходит, так как
Вас заинтересует
2 года назад
7 лет назад
7 лет назад
9 лет назад