• Предмет: Физика
  • Автор: xxxolodniy
  • Вопрос задан 3 года назад

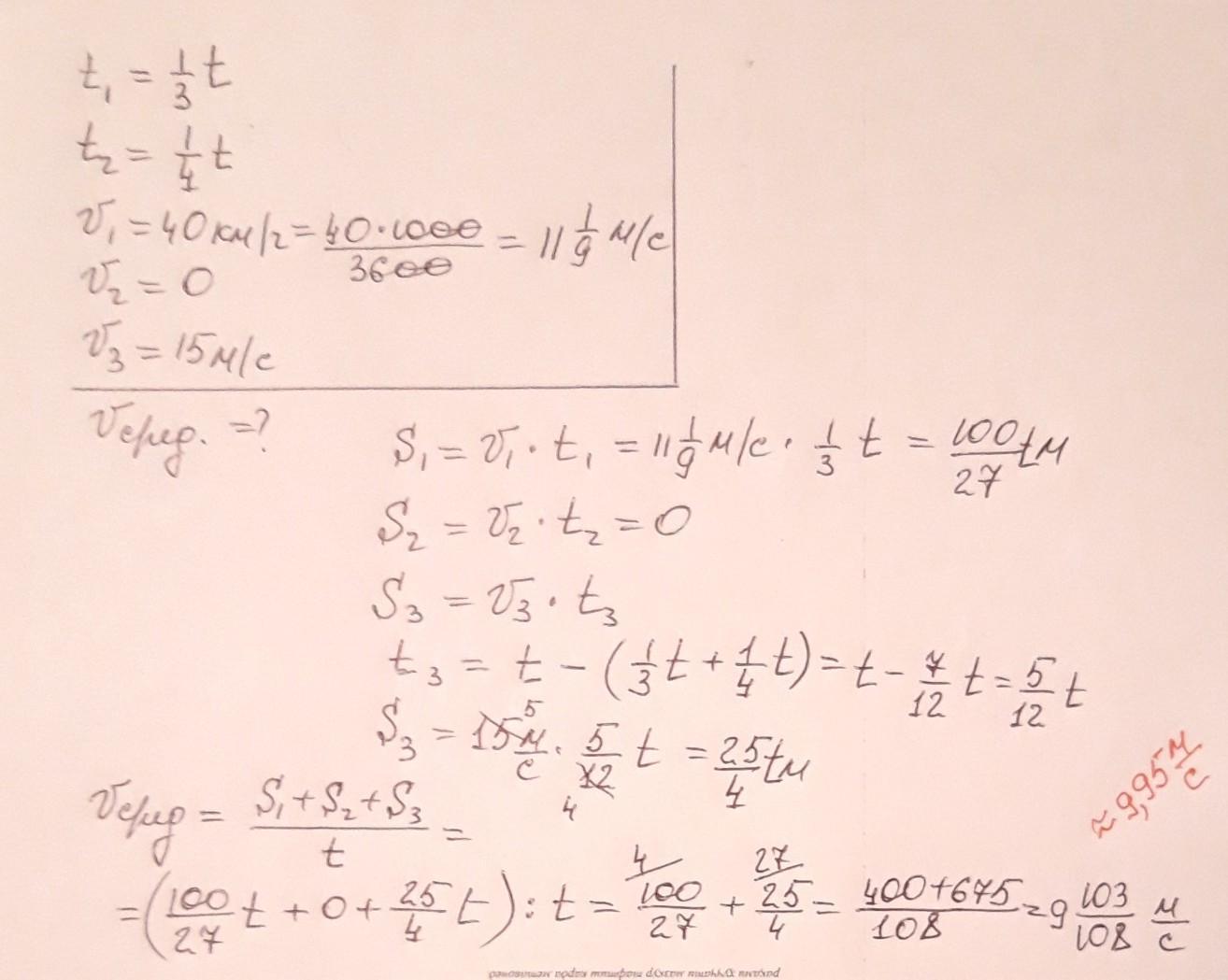
плиииз, хелп Автомобиль треть всего времени ехал со скоростью 40 км/ч, четверть всего времени стоял на светофоре, а остальную часть времени двигался со скоростью 15 м/с. Определите среднюю скорость на всём пути.

Ответы

Ответ дал: sharofat0
1

Ответ:

V(сред.)=9,95м/с

Объяснение:

Приложения:
Ответ дал: zzyto1
1

Ответ:35,9(Примерно)

Объяснение:

v =\frac{s}{t}- это формула, по которой будем считать среднюю скорость(весь путь на всё время). (Прежде чем начать решать, переведём м/с в км/ч, так удобнее будет) 15 м/с = 54 км/ч. Поделим всё движение на 3 участка 1) Автомобиль двигался 40км/ч; 2) автомобиль стоял; 3) автомобиль двигался со скоростью 54 км/ч. Всё время движение - t, тогда по условию время движение на 1) t/3 на 2)t/4  на 3) t - (t/3) - (t/4) = (5t)/12, тогда осталось найти весь путь(s = s_{1} +s_{2} +s_{3}).  s_{1}  =\frac{40t}{3} ,s_{2} = 0(Он стоял),s_{3} = \frac{45}{2} t,  а s = \frac{215t}{6}. Отсюда v =\frac{215}{6}  = 35,9(Примерно.) .


zzyto1: у меня ответ в км/ч
Вас заинтересует