• Предмет: Алгебра
  • Автор: gfdghdgsdg
  • Вопрос задан 3 года назад

дам 35 баллов за это

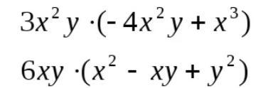
Приложения:

aria2904: это типа система уравнений?
aria2904: или каждое по отдельности решить?

Ответы

Ответ дал: mishka19
0

Объяснение:

1)~ 3x^2y\cdot(-4x^2y+x^3)=3x^2y\cdot(-4)x^2y+3x^2y\cdot x^3=-12x^{2+2}y^{1+1}+\\ \\ +3x^{2+3}y=-12x^4y^2+3x^5y \\ \\2)~6xy\cdot(x^2-xy+y^2)=6xy\cdot x^2-6xy\cdot xy+6xy\cdot y^2=6x^{1+2}y-\\ \\-6x^{1+1}y^{1+1}+6xy^{1+2}=6x^3y-6x^2y^2+6xy^3

Ответ дал: Аноним
0

3х²у*(-4х²+х³)=-12х⁴у²+3х⁵у при умножении степеней с одинаковыми основаниями показатели складываются.

6ху*(х²-ху+у²)=6х³у-6х²у²+6ху³

Вас заинтересует