• Предмет: Физика
  • Автор: Yoyshnaya
  • Вопрос задан 11 лет назад

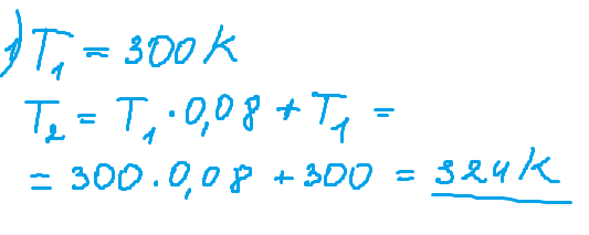
1температура газа была 300 к и возросла на 8 %.какой стала температура газа
2при нагревании идеального газа средняя квадратичная скорость теплового движения  молекул увеличилась в 4 раза.

Ответы

Ответ дал: yuliagal
0
вроде так, а какой вопрос у второго задания?
Приложения:
Вас заинтересует