• Предмет: Алгебра
  • Автор: kovat69
  • Вопрос задан 3 года назад

Решите подробно,пожалуйста)

Приложения:

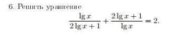
Аноним: Найди ОДЗ, замени lgx на t, реши уравнение. Получишь t = -1, от куда lgx = -1, x = 10^(-1) = 1/10. Ответ : 1/10

Ответы

Ответ дал: nafanya2014
1

ОДЗ:

{x>0

{2lgx+1≠0

{lgx≠0

Замена переменной:

\frac{lgx}{2lgx+1} =t

тогда

\frac{2lgx+1}{lgx} =\frac{1}{t}

t\neq 0

Уравнение:

t+\frac{1}{t} =2

\frac{t^2-2t+1}{t}=0   ⇒  t=1

Обратная замена

\frac{lgx}{2lgx+1} =1      ⇒   lgx=2lgx+1

lgx=-1

x=0,1  удовл ОДЗ

О т в е т. 0,1

Вас заинтересует