Дополнительные упражнения кг
К параграфу 8
650, Решите уравнение:
а) (x + 2)2 + (х – 3)2 = 13;
б) (3х – 5)2 – (2x + 1)2 = 24;
в) (х – 4) (x2 + 4х + 16) + 28 = х2(х – 25);
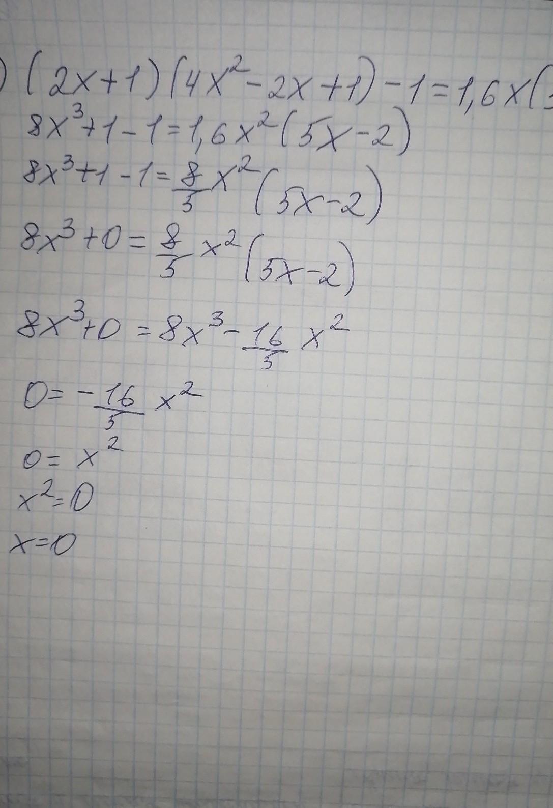
г) (2x + 1) (4х2 – 2х + 1) – 1 = 1,6x? (5х – 2).
Ответы
Ответ дал:
1
Ответ:
В прикреплённом файле
Приложения:


Вас заинтересует
2 года назад
2 года назад
7 лет назад
7 лет назад
9 лет назад