• Предмет: Математика
  • Автор: Lelik2198
  • Вопрос задан 3 года назад

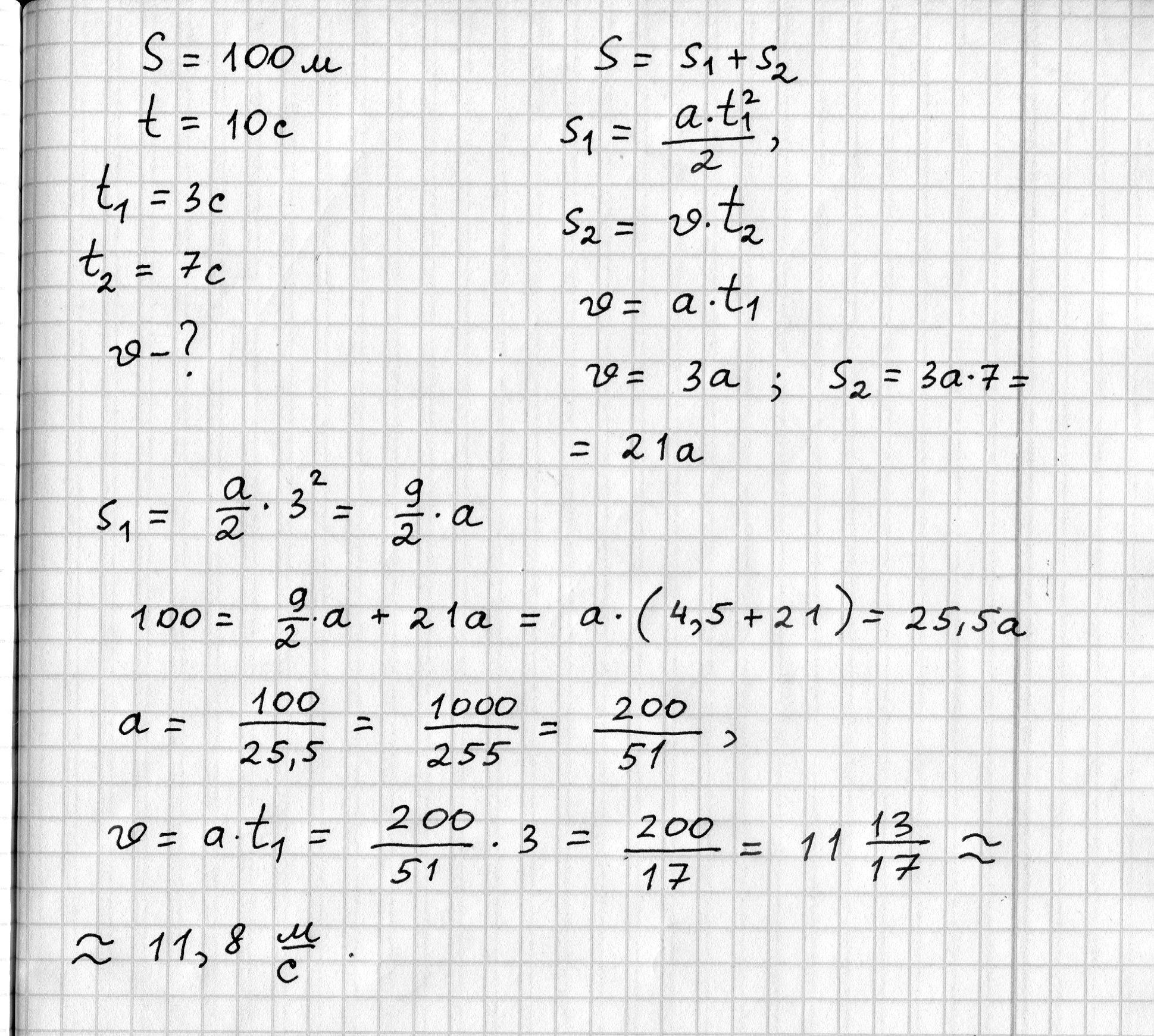
Спортсмен стартуя с места пробегает 100м за 10сек.Первые три секунды он бежит равноускоренно,а затем его скорость постоянна.Найти скорость на финише

Ответы

Ответ дал: Аноним
4

я написал решение на листочке ===>>

Приложения:
Вас заинтересует