• Предмет: Математика
  • Автор: dmitryzikov
  • Вопрос задан 3 года назад

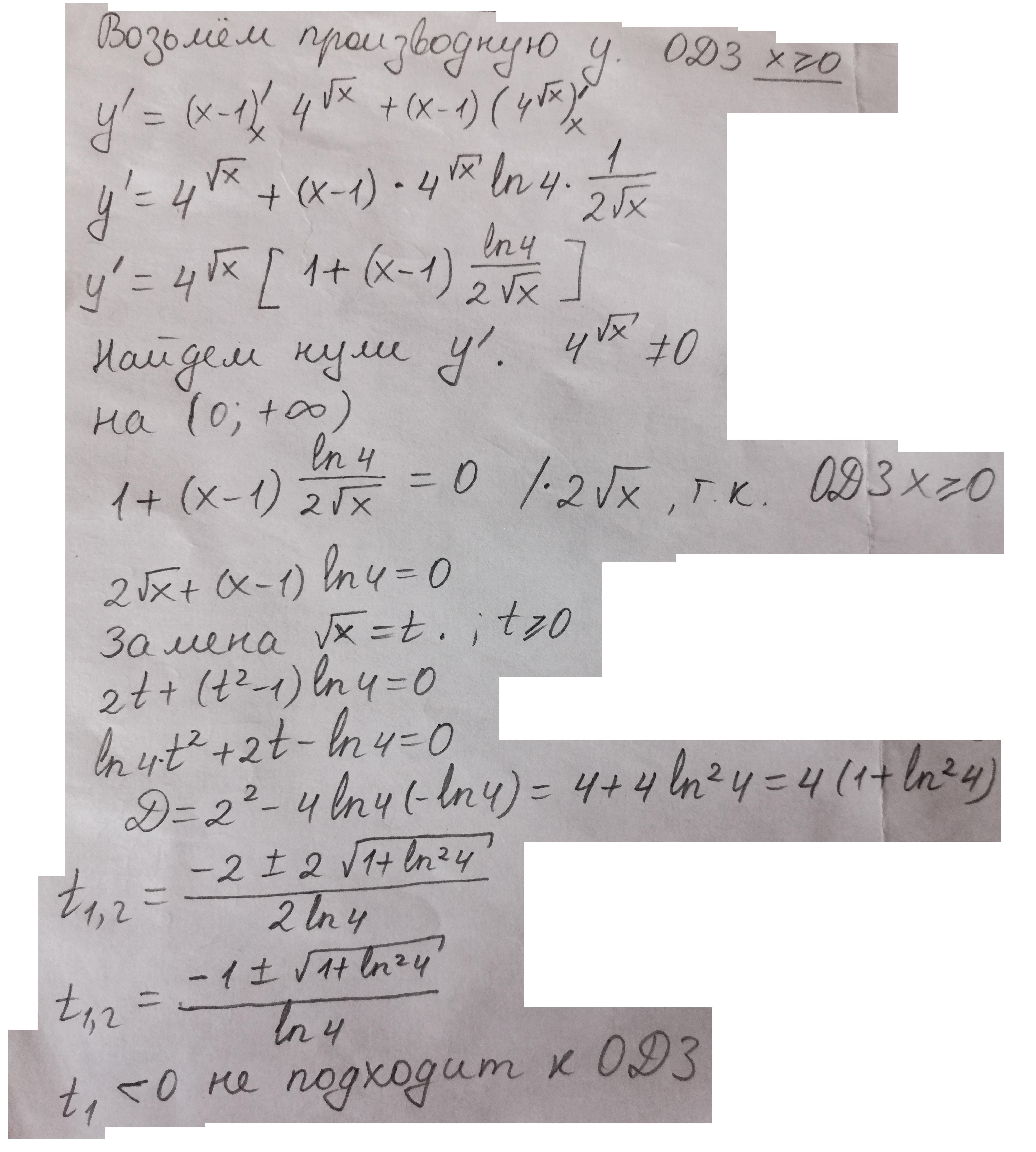
Найдите точку минимума функции y=(x-1)*4^√x


bearcab: слооожно
dmitryzikov: Согласен! Этот 4^√x мне уже голову сломал

Ответы

Ответ дал: bearcab
1

Ответ:

\left(\frac{2+\ln^24-2\sqrt{1+\ln^24}}{\ln^24};\,\,\approx-1,5\right)  - это минимум данной функции

Пошаговое объяснение:

Решение в приложении.

Приложения:
Вас заинтересует