• Предмет: Математика
  • Автор: CrIsSaLiT
  • Вопрос задан 3 года назад

Координаты точки M(x, y) удовлетворяют системе уравнений \left \{ {{x^{3} - y^{3} =63} \atop {xy(x-y)=12}} \right. \\ Найти сумму координат точки M. Если таких точек несколько, в ответ записать наименьшую сумму.

Ответы

Ответ дал: igorShap
1

Ответ:

-5

Пошаговое объяснение:

x^3-y^3=(x-y)(x^2+xy+y^2)=(x-y)(x^2-2xy+y^2+3xy)= (x-y)((x-y)^2+3xy)=(x-y)^3+3(x-y)xy\\ \left[(x-y)=a,xy=b\right]\\ \left\{\begin{array}{c}a^3+3ab=63\\ab=12\end{array}\right.=> \left\{\begin{array}{c}a^3=27\\ab=12\end{array}\right.=> \left\{\begin{array}{c}a=3\\b=4\end{array}\right.=> \left\{\begin{array}{c}x=3+y\\(3+y)y=4\;\;(1)\end{array}\right.\\ (1)\;(3+y)y=4=>y^2+3y-4=0=>[y_1+y_2=-2,y_1y_2=-4]=>\\ y=1\;\;\;\;\;\;\;\;\;y=-4\\ x=4\;\;\;\;\;\;\;\;\; x=-1

min(x+y)=min\{4+1;-1+(-4)\}=min\{5;-5\}=-5


CrIsSaLiT: Не уловил суть происходящего в первых трёх строках. не могли бы объяснить?
igorShap: В первой строке выразил разность кубов через (x-y) и xy, а далее ввел замену. Это сделано исключительно для удобства, естественно, можно обойтись и без этого.
igorShap: Опечатка при нахождении значений у, у_1+у_2=-3, а не -2
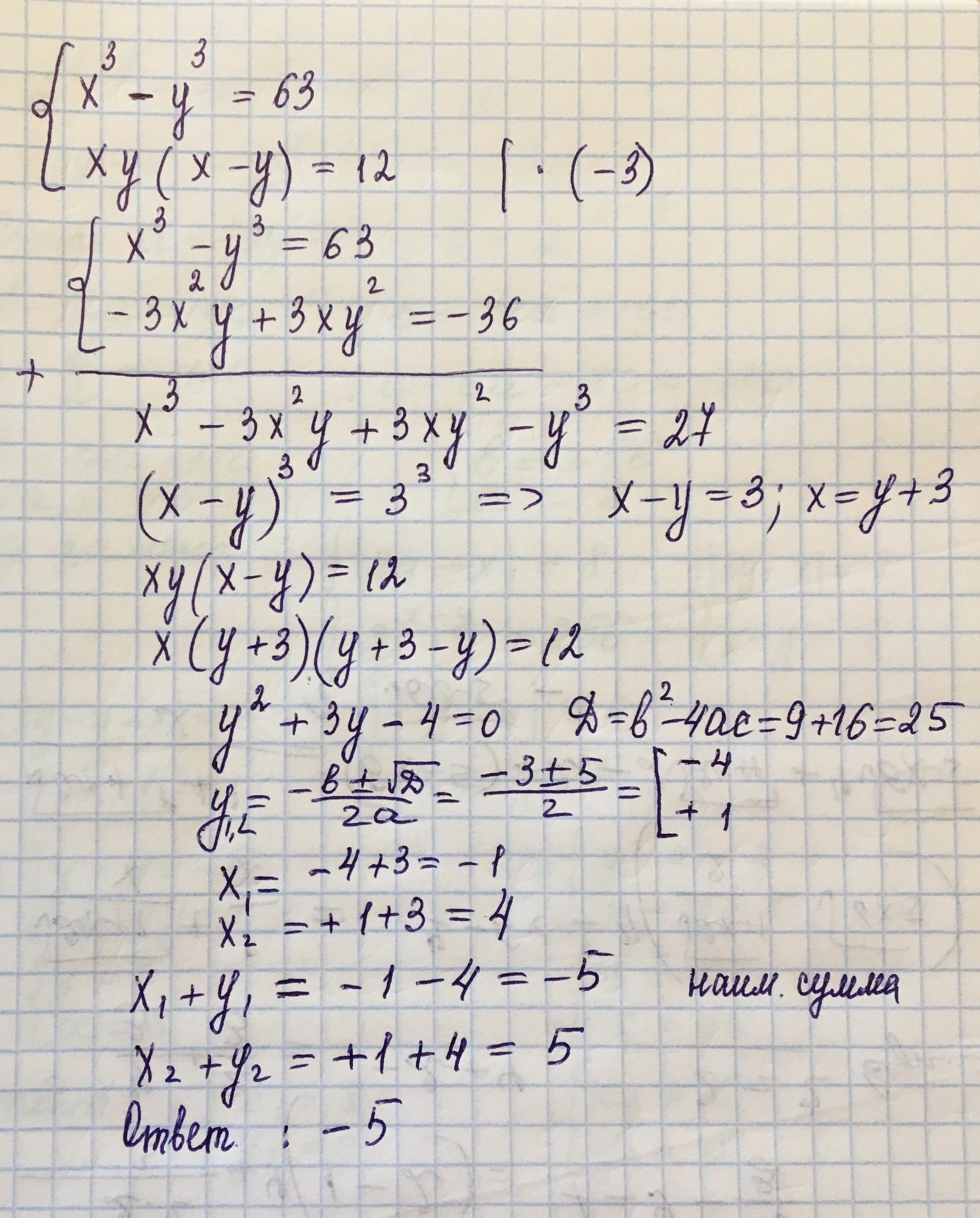
Ответ дал: tamarabernukho
1

Ответ:

-5

Пошаговое объяснение:

,,,,,,,,,,,,,,,,,,,,,,,,

Приложения:
Вас заинтересует