• Предмет: Математика
  • Автор: BananaDi
  • Вопрос задан 3 года назад

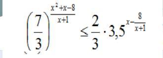
помогите решить неравенство, расписать нужно подробно

Приложения:

tolya91: посмотрите у konoshenko00

Ответы

Ответ дал: ВладимирБ
2

Ответ:

Пошаговое объяснение:

.................................................

Приложения:
Вас заинтересует