• Предмет: Алгебра
  • Автор: mona0307
  • Вопрос задан 3 года назад

Можно с подробным решением

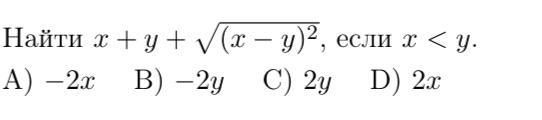
Приложения:

Ответы

Ответ дал: mithridat
2

Ответ:

C) 2y

Объяснение:

\sqrt{(x - y)^2} = |x - y| = y - x

x + y + y - x = 2y

Вас заинтересует