• Предмет: Математика
  • Автор: Toom123
  • Вопрос задан 3 года назад


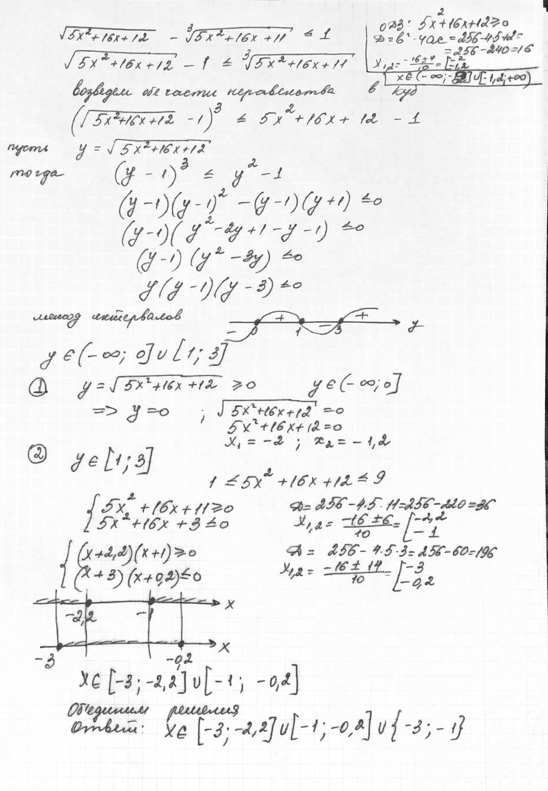
  \sqrt{5 {x}^{2}  + 16x + 12}  - \sqrt[3]{5{x}^{2} + 16x + 11 }  \leqslant 1
Решить неравенство, заранее спасибо.​

Ответы

Ответ дал: ВладимирБ
2

Ответ:

Пошаговое объяснение:

...............................................

Приложения:
Вас заинтересует