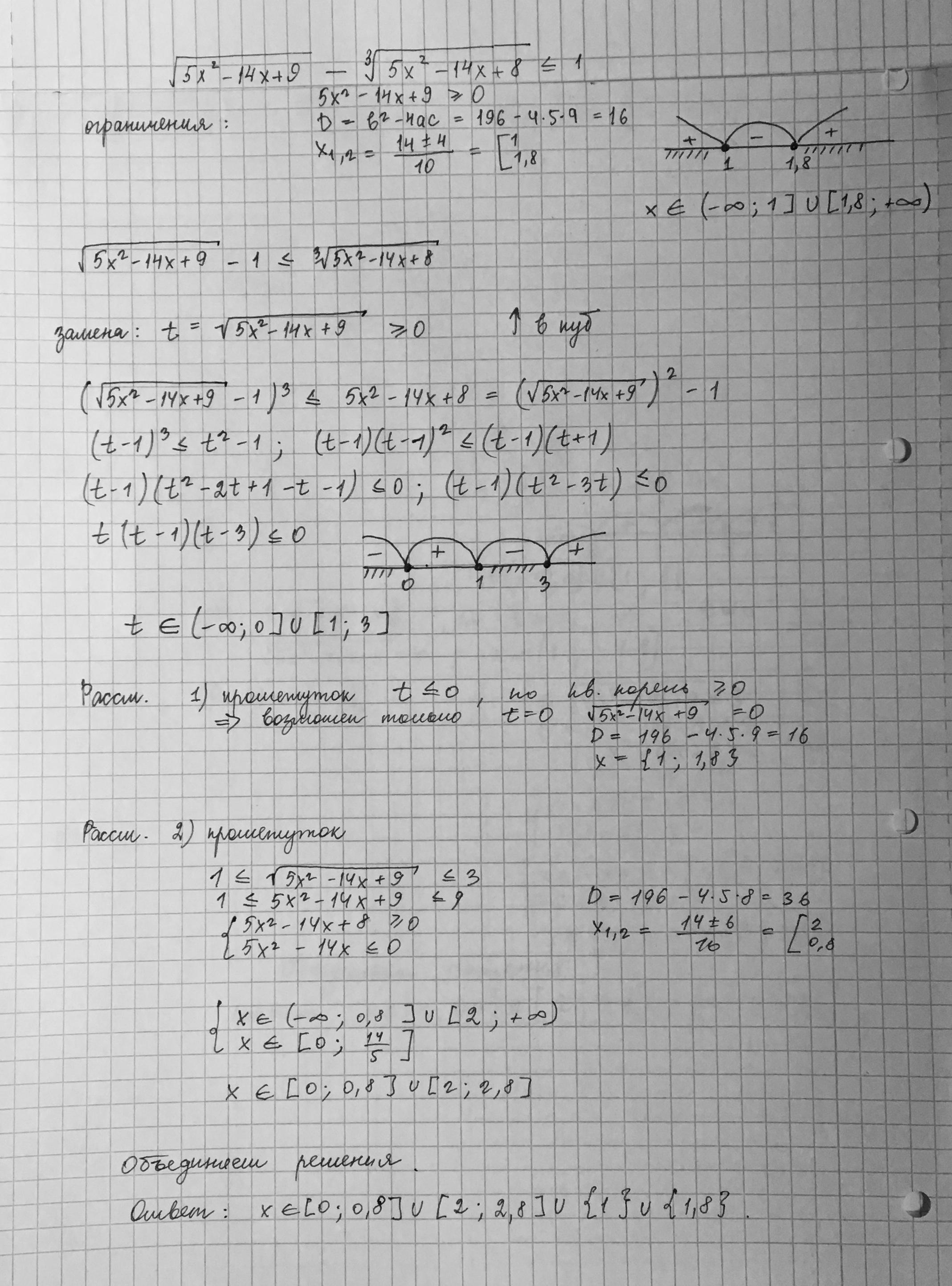
Решить неравенство ———————————-
Приложения:
Аноним:
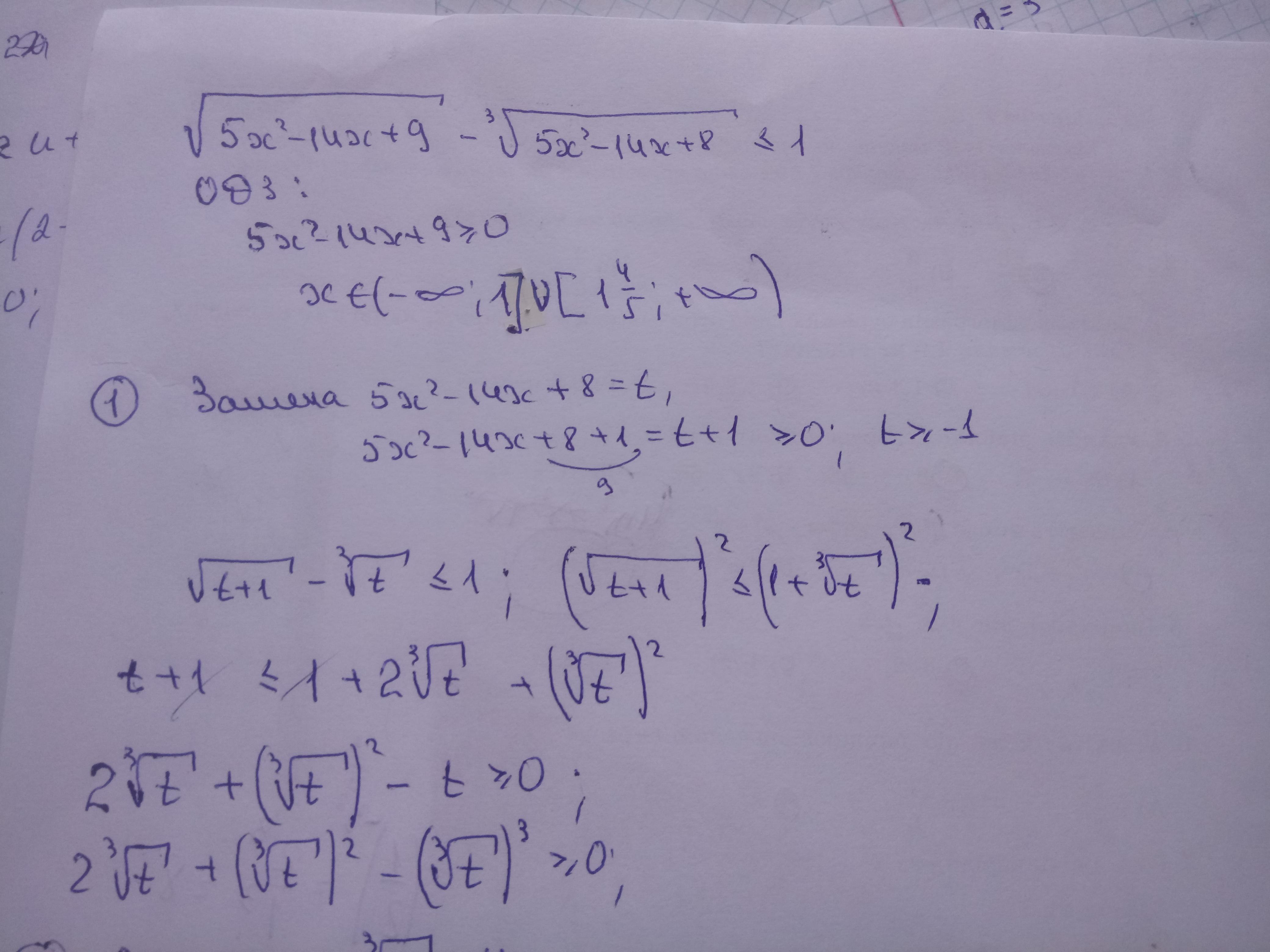
Замена 5x^2-14x+8=t
Корни уравнения будут -1, 0, 8 b потом наносите на числовой прямой
ещё можно представить единицу как 5x^2 - 14x + 9 - (5x^2 - 14x + 8)
Думаю самое рациональное было бы через такое преобразование:
sqrt(5x^2- 14x + 9) - (5x^2 - 14x + 8 ) <= 5x^2 - 14x + 9 - (5x^2-14x+8)
sqrt(5x^2- 14x + 9) - (5x^2 - 14x + 8 ) <= 5x^2 - 14x + 9 - (5x^2-14x+8)
Ответы
Ответ дал:
1
Смотрите это решение. Сейчас кто-то может ещё посмотрит, проверит. Будет предложено более рациональное (по-короче) решение. А пока так.
Приложения:
Ответ дал:
2
Ответ:
Пошаговое объяснение:
************************
Приложения:
Здравствуйте, помогите мне пожалуйста решить задачи 4, 5 и 12 (они первые в моем списке вопросов).
Вас заинтересует
2 года назад
2 года назад
2 года назад
2 года назад
8 лет назад
8 лет назад
9 лет назад