• Предмет: Математика
  • Автор: STEPASDAYYOPTA
  • Вопрос задан 3 года назад

СРОЧНО помогите решить, осталось последнее

Приложения:

STEPASDAYYOPTA: Ну же кто-нибудь

Ответы

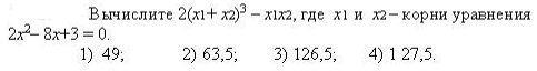
Ответ дал: narminmamedzadeh
1

Ответ:

3) 126,5

Пошаговое объяснение:

2 {x}^{2}  - 8x + 3 = 0 \\  {x}^{2}  - 4x + 1.5 = 0

x1+x2=4

x1×x2=1,5

2 {(x1 + x2)}^{3}  - x1x2  = 2 \times  {4}^{3}  - 1.5 = 2 \times 64 - 1.5 = 128 - 1.5 = 126.5

Вас заинтересует