Ответы
Ответ дал:
0
Ответ:
Объяснение:
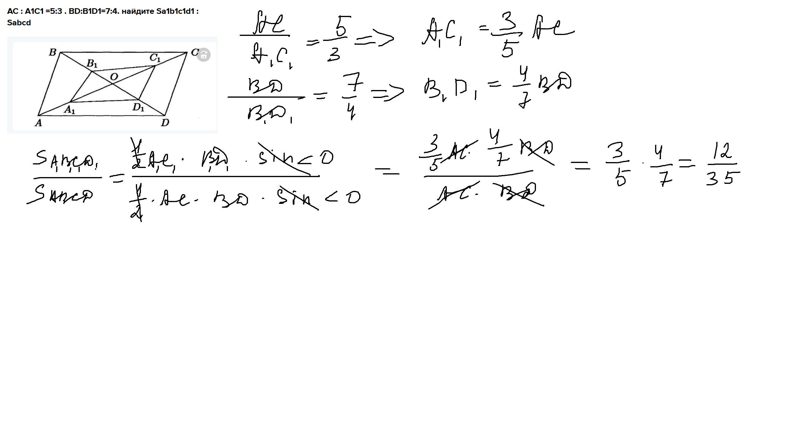
AC : A1C1 =5:3 . BD:B1D1=7:4. найдите Sa1b1c1d1 : Sabcd
Приложения:

Вас заинтересует
2 года назад
2 года назад
2 года назад
2 года назад
9 лет назад