• Предмет: Математика
  • Автор: bazarovdamir882
  • Вопрос задан 3 года назад

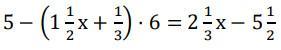
Нужно решить уравнение

Приложения:

Ответы

Ответ дал: matilda17562
0

Ответ:

3/4.

Пошаговое объяснение:

5 - 6•( 1 1/2х + 1/3) = 2 1/3х - 5 1/2

5 - 9х - 2 = 2 1/3х - 5 1/2

- 9х - 2 1/3х = - 3 - 5 1/2

- 11 1/3х = - 8 1/2

х = - 8 1/2 : ( - 11 1/3)

х = 17/2 : 34/3

х = (17•3)/(2•34)

х = (1•3)/(2•2)

х = 3/4

Проверка:

5 - 6•( 1 1/2•3/4 + 1/3) = 2 1/3•3/4 - 5 1/2

5 - 6•( 9/8 + 1/3) = 7/4 - 5 1/2

5 - 6•( 27/24 + 8/24) = 7/4 - 5 1/2

5 - 6•35/24 = 7/4 - 5 1/2

5 - 8 3/4 = 1 3/4 - 4 6/4

- 3 3/4 = - 3 3/4 - верно

Вас заинтересует