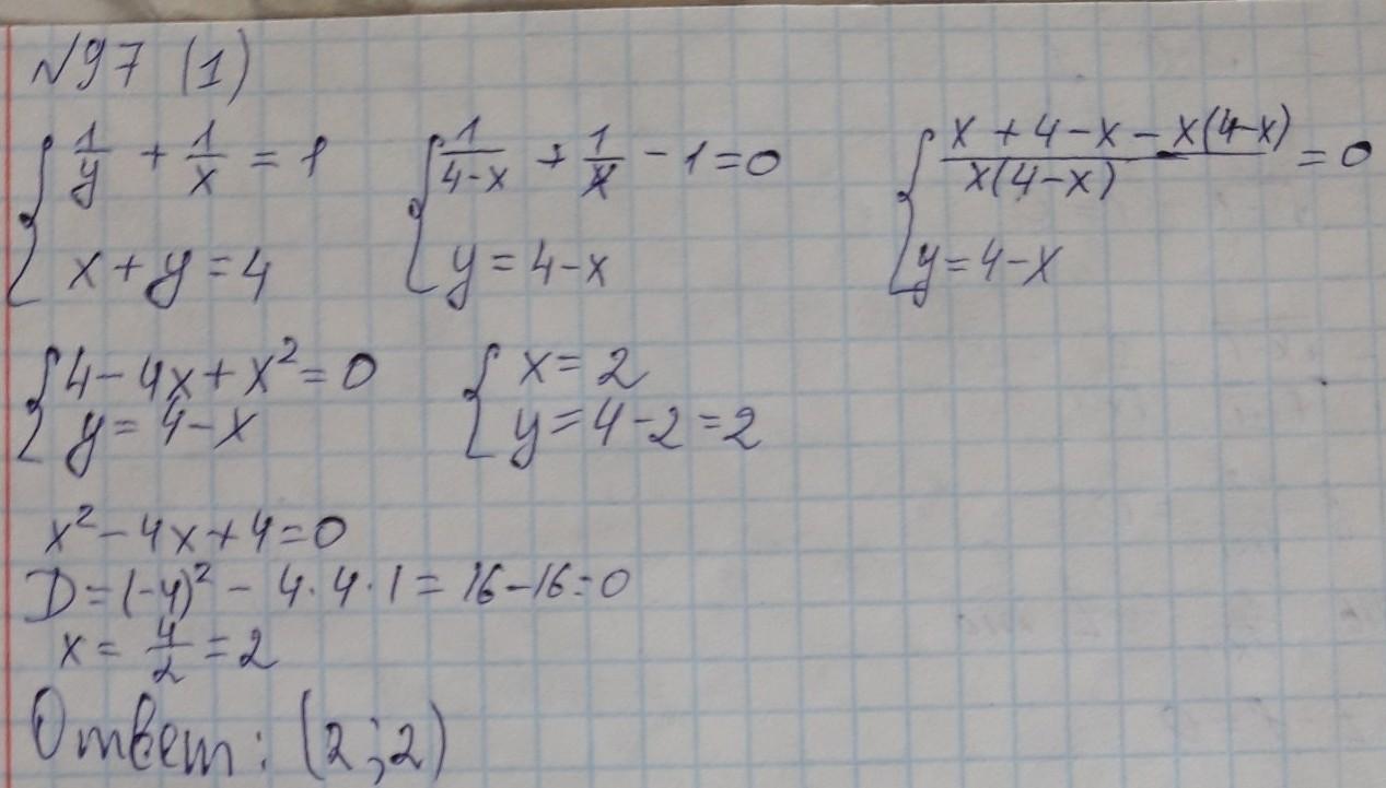
ПОЖАЛУЙСТА ОЧЕНЬ СРОЧНО! 3 уравнений: 96 (2);97. (1);(2). р
Решите системы.Пожалуйста напишите все подробно не сокращая уравнение.
Приложения:

Ответы
Ответ дал:
0
как-то так ............
Приложения:



Вас заинтересует
2 года назад
2 года назад
2 года назад
7 лет назад
7 лет назад
9 лет назад