7класс!!! умоляю!
2*(x+y) – 3*(4 – y) = 5*(x + 3)
4x – 2y + 12 = 11x – 5y + 3
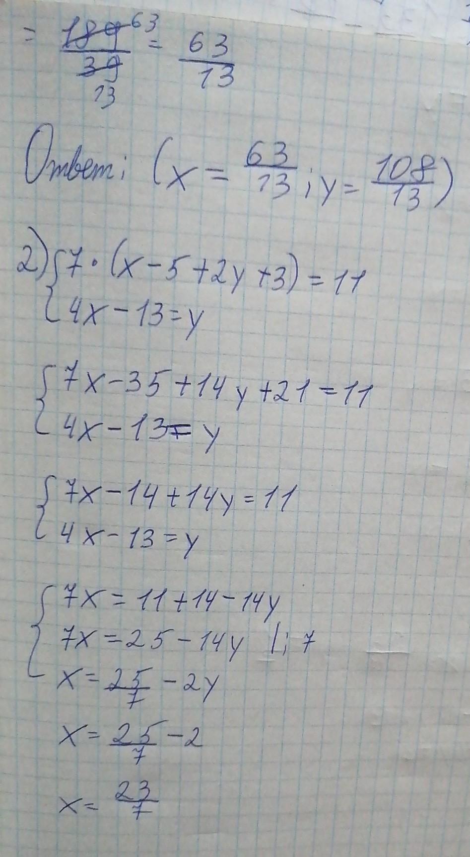
7*( х – 5 + 2у + 3) = 11
4х – 13 = у
3х – 12у = 13
Х + 6у = 5
12х – у = 14
5х + 5у = 17
farizanovam:
Это система? Или разные уравнения?
Ответы
Ответ дал:
1
Ответ:
12х- у = 14
5х+5у=17
12х - у= 14 / *5
5х+ 5у= 17
60х - 5у = 70 / +
5х +5у = 17 / +
65х = 87
х = 87 : 65
х = 87/65
5х + 5у = 17
5 * 87/65 + 5у = 17
87/13 + 5у = 17
5у = 17 - 87/13
5у = 221/13 - 87/13
5у = 134/13
у = 134/13 : 1/5
у = 134/65
ПРОВЕРКА:
(5 * 87/65) + (5 * 134/65) = 87/13 + 134/13 = 221/13 = 17
Приложения:





Вас заинтересует
2 года назад
2 года назад
2 года назад
7 лет назад
7 лет назад