• Предмет: Алгебра
  • Автор: calpac2007
  • Вопрос задан 3 года назад

Помогите, пожалуйста!

Приложения:

Ответы

Ответ дал: Аноним
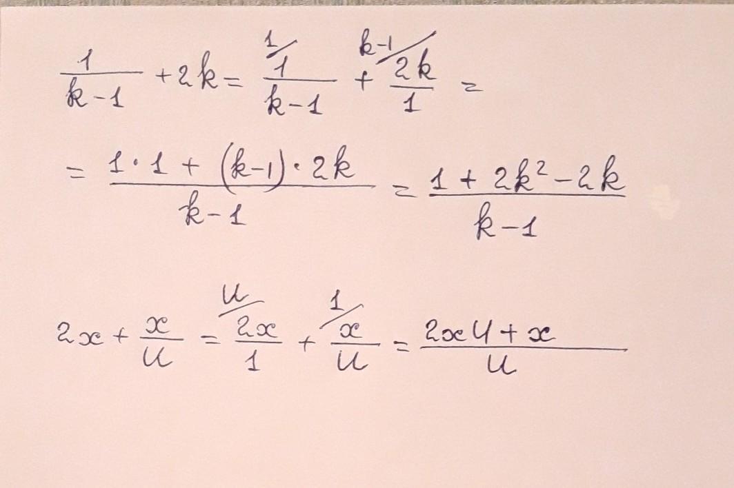
2

2x + x/u=2x*u/(1*u) + x*1/(1*u)=

2хu/u + x/u=(2xu + x)/u  -  это ответ.

Общий знаменатель u

Дополнительные множители u и 1.

В тетради скобки в решении ставить не надо))

Ответ дал: sharofat0
2

Ответ:

2Х+ Х/U=2XU+X/U

Приведите к общему знаменателю.

Приложения:

Аноним: На втором фото знаменатель забыли....
Вас заинтересует