• Предмет: Математика
  • Автор: 87771122155
  • Вопрос задан 3 года назад

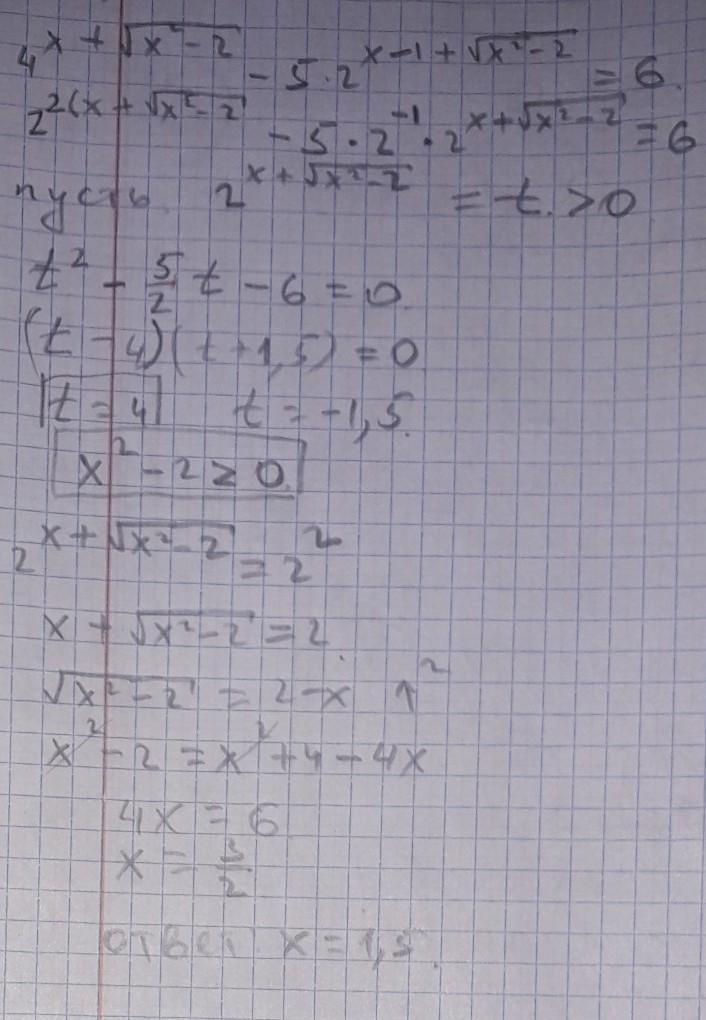
помогите сроооочно пожалуйста

Приложения:

Аноним: у меня в профиле есть ответ на такой же вопрос
xacku2020: дата ответа?
Аноним: сегодня

Ответы

Ответ дал: samandararis115
0

Ответ:

1,5

Пошаговое объяснение:

см. рис.

Надеюсь понятно

Приложения:
Ответ дал: lidiasaraa3
0

..........................

Приложения:
Вас заинтересует