• Предмет: Алгебра
  • Автор: anzhelavinogra83
  • Вопрос задан 3 года назад

Помогите, пожалуйста

Приложения:

terikovramazan: многовато
griwka01: Добавьте баллов. Мб тогда народ появиться)

Ответы

Ответ дал: griwka01
0

Ответ:

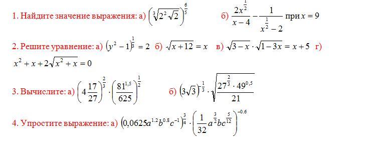
1.а) 2

 б) 0,2

2.а) ±3

  б) 4

  в) -1

  г) 0;1

3. а) 3

   б) 1

4.64/c

Объяснение:

Ответ дал: NNNLLL54
0

1)\ \ \Big(\sqrt[3]{2^2\cdot \sqrt2}\Big)^{\frac{6}{5}}=\Big(2^2\cdot \sqrt2\Big)^{\frac{6}{5\cdot 3} }=\Big(2^2\cdot 2^{\frac{1}{2}}\Big)^{\frac{2}{5}}=\Big(2^{\frac{5}{2}}\Big)^{\frac{2}{5}}=2\\\\\\x=9\ ,\ \ \dfrac{2x^{\frac{1}{2}}}{x-4}-\dfrac{1}{x^{\frac{1}{2}}-2}=\dfrac{2x^{\frac{1}{2}}}{(x^{\frac{1}{2}}-2)(x^{\frac{1}{2}}+2)}-\dfrac{1}{x^{\frac{1}{2}}-2}=

\dfrac{2x^{\frac{1}{2}}-(x^{\frac{1}{2}}+2)}{(x^{\frac{1}{2}}-2)(x^{\frac{1}{2}}+2)}=\dfrac{x^{\frac{1}{2}}-2}{(x^{\frac{1}{2}}-2)(x^{\frac{1}{2}}+2)}=\dfrac{1}{x^{\frac{1}{2}}+2}=\dfrac{1}{\sqrt9+2}=\dfrac{1}{3+2}=\dfrac{1}{5}=0,2

2)\ \ (y^2-1)^{\frac{1}{3}}=2\ \ ,\ \ y^2-1=2^3\ \ ,\ \ x^2=9\ \ ,\ \ x=\pm 3\\\\\\\sqrt{x+12}=x\ \ ,\ \ x\geq 0\ ,\\x+12=x^2\ \ ,\ \ x^2-x-12=0\ \ ,\ \ x_1=-3\notin ODZ\ ,\ x_2=4\in ODZ\\Otvet:\ \ x=4\ .\\\\\\\sqrt{3-x}\cdot \sqrt{1-3x}=5+x\ \ ,\ \ \{5+x\geq 0\ ,\ 3-x\geq 0\ ,\ 1-3x\geq 0\}\ \ \to \ \ -5\leq x\leq \dfrac{1}{3} \ ,\\3-9x-x+3x^2=25+10x+x^2\ \ ,\ \ 2x^2-20x-22=0\ \ ,\ \ x^2-10x-11=0\ ,\\x_1=-1\ ,\ x_2=11\notin ODZ\ .\ \ \ Otvet:\ x=-1\ .

(x^2+x)+2\sqrt{x^2+x}=0\ \ ,\ \ x^2+x\geq 0\ ,\ x(x+1)\geq 0\ ,\ x\in (-\infty ;-1]\cup [\, 0;+\infty )\\t=\sqrt{x^2+x}\geq 0\ ,\ \ t^2+2t=0\ ,\ \ t(t+2)=0\ \ ,\ \ t_1=0\ ,\ t_2=-2\ ,\\x^2+x=0\ ,\ x_1=0\ ,\ x_2=-1\\x^2+x=-2\ ,\ x^2+x+2=0\ ,\ D=1-8=-7<0\ \to \ x\in \varnothing \\Otvet:\ x_1=0\ ,\ x_2=-1\ .

3)\ \ \Big(4\dfrac{17}{27}\Big)^{\frac{2}{3}}\cdot \Big(\dfrac{81^{1,5}}{625}\Big)^{\frac{1}{2}}=\Big(\dfrac{125}{27}\Big)^{\frac{2}{3}}\cdot \dfrac{81^{\frac{3}{4}}}{5^2}=\dfrac{5^2}{3^2}\cdot \dfrac{3^3}{5^2}=3\\\\\\(3\sqrt3)^{-\frac{1}{3}}\cdot \sqrt{\dfrac{27^{2/3}\cdot 49^{0,5}}{21}}=3^{-1/2}\cdot \sqrt{\dfrac{3^2\cdot 7}{21}}=\dfrac{1}{\sqrt3}\cdot \dfrac{3\cdot \sqrt7}{\sqrt{21}}=\dfrac{\sqrt{21}}{\sqrt{21}}=1

4)\ \ \Big(0,0625\, a^{1,2}\, b^{0,8}\, c^{-1}\Big)^{\frac{3}{4}}\cdot \Big(\dfrac{1}{32}\, a^{\frac{3}{2}}\, b\, c^{\frac{5}{12}}\Big)^{-0,6}=\\\\=0,5^3\, a^{0,9}\, b^{0,6}\, c^{-0,75}\cdot  \dfrac{1}{2^5}\, a^{-0,9}\, b^{-0,6}\, c^{-0,25}=\dfrac{1}{2^8}\, a^{0}\, b^{0}\, c^{-1}=\dfrac{1}{2^8\, c}=\dfrac{1}{256\, c}

Вас заинтересует