Ответы
Ответ дал:
1
Ответ:
Ответ в решении
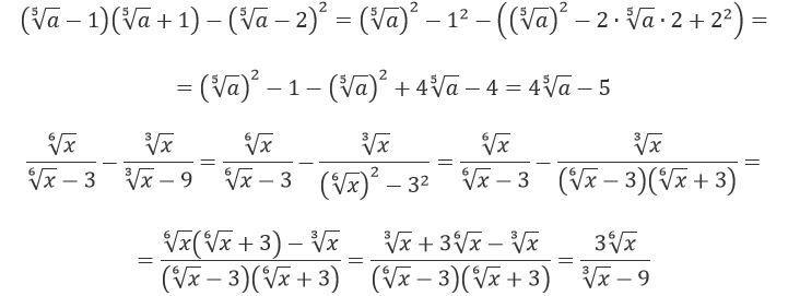
Объяснение:
Приложения:

9em4enk02004:
спасибо большое
Вас заинтересует
2 года назад
2 года назад
2 года назад
2 года назад
7 лет назад
9 лет назад
9 лет назад