• Предмет: Алгебра
  • Автор: anuta7blaa
  • Вопрос задан 3 года назад

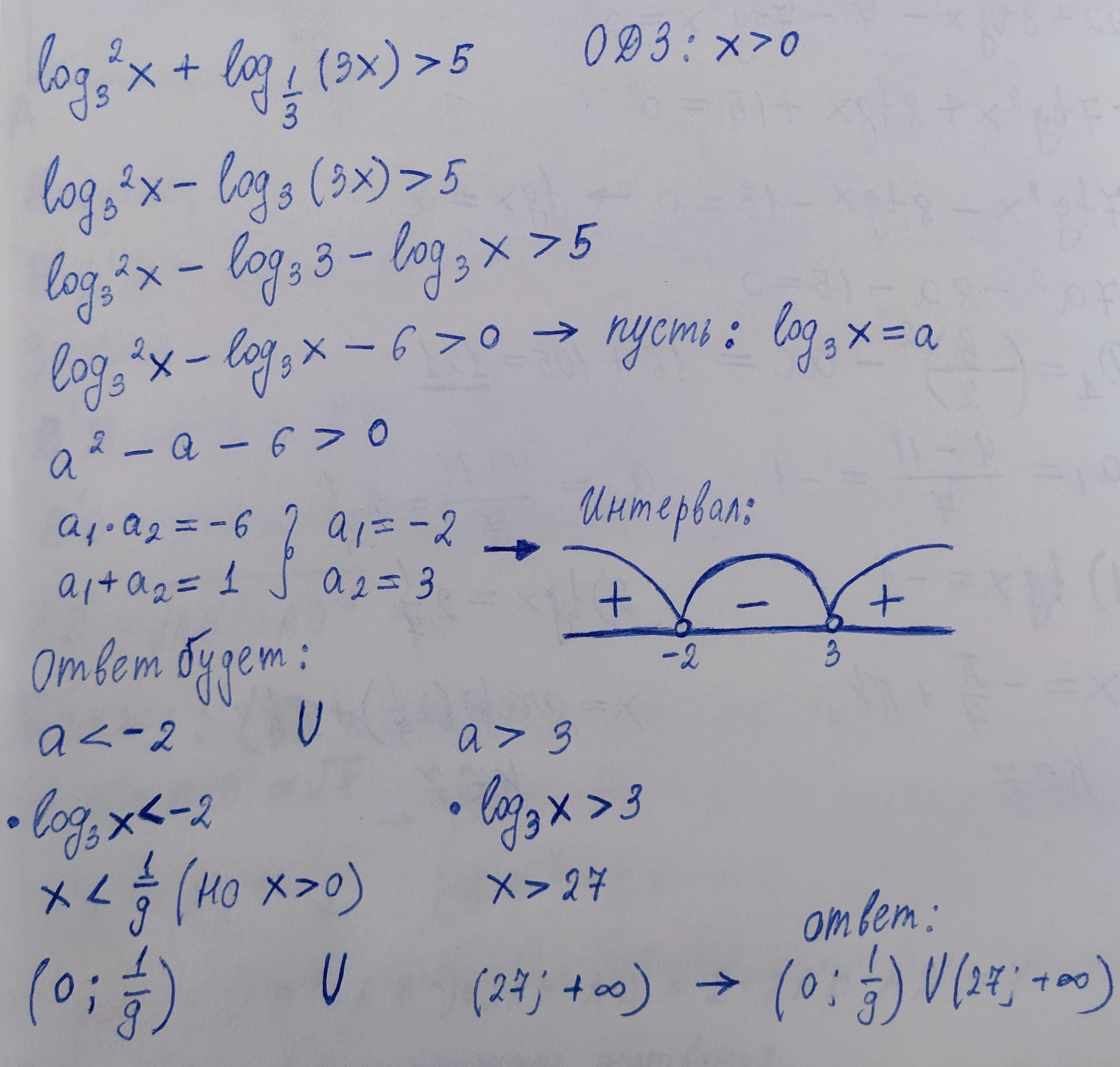
Решить log3^2x + log1/3 (3x) >5

Ответы

Ответ дал: Асик777Асик
0

Ответ есть во вложении.

Удачи Вам и успехов)!

Приложения:
Вас заинтересует