• Предмет: Математика
  • Автор: mikleputsman
  • Вопрос задан 3 года назад

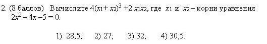
help во вложеении спасибо

Приложения:

Ответы

Ответ дал: manyny06
0

Ответ:  27

Пошаговое объяснение:

2х²-4х-5=0

Почленно все делим на 2 :

х² - 2х - 2.5=0

по теореме Виета:

х₁ +х₂ = 2

х₁ * х₂ = -2.5

-----------------------------------------------

4(х₁+х₂) ³ + 2 х₁ х₂ = 4  * 2 ³ +  2 * ( - 2.5) = 4 * 8 - 5 = 32-5 = 27

Вас заинтересует