• Предмет: Математика
  • Автор: jordan26092
  • Вопрос задан 3 года назад

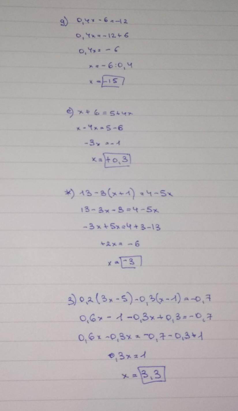
Решите уравнение, пожалуйста, срочно, очень надо​

Приложения:

zzyto1: какое ?
kateyka05: можно решить только половину?

Ответы

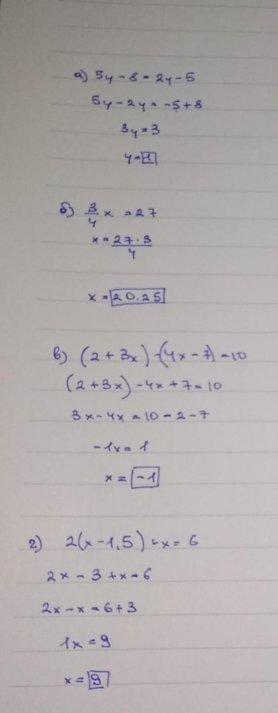
Ответ дал: kateyka05
1

Ответ:

всё на фото

надеюсь,что правильно получилось

Приложения:

kateyka05: тут вроде бы всё
jordan26092: ОГРОМЕННИЩЕЕ СПАСИБО
kateyka05: пожалуйста)
Вас заинтересует